电脑桌面
添加小米粒文库到电脑桌面
安装后可以在桌面快捷访问

(筛选)第四章作业答案VIP免费

(筛选)第四章作业答案_第1页
1/11
(筛选)第四章作业答案_第2页
2/11
(筛选)第四章作业答案_第3页
3/11
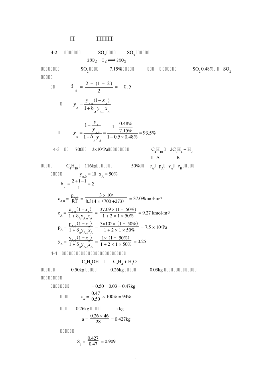
1 第四章 化学反应工程的基本原理 4-2 在一定条件下,SO2 催化制取SO3 的反应式为: 已知反应器入口处SO2 的浓度是7.15%(摩尔分数,下同), 出口物料中含SO2 0.48%, 求 SO2的转化率。 解: 5.02)21(2A AAAAAAxyxyy0,0,1)1( ∴ %5.93%48.05.01%15.7%48.01110,AAAAAyyyx 4-3 已知700℃、3105Pa(绝压)下的反应:C4H10 → 2C2H4 + H2 ( A) ( B) 反应开始时C4H10 为 116kg。求当反应完成50%时,cA、 pA、 yA、 cB 各为多少? 解:依题意 yA,0 = 1, xA = 50% 21112A cA,0 = pA.0RT = 3  1058.314  (700 +273) = 37.09kmol·m-3 cA = cA.0(1 - xA)1 + AyA.oxA = 37.09  (1 - 50%)1 + 2  1  50% = 9.27 kmol·m-3 pA = pA.0(1 - xA)1 + AyA.oxA = 3105  (1 - 50%)1 + 2  1  50% = 7.5  104Pa yA = yA.0(1 - xA)1 + AyA.oxA = 1 (1 - 50%)1 + 2  1  50% = 0.25 4-4 乙醇在装有氧化铝催化剂的固定床反应器中脱水,生成乙烯: C2H5OH → C2H4 + H2O 测得每次投料0.50kg 乙醇,可得0.26kg 乙烯,剩余0.03kg 乙醇未反应。求乙醇转化率、乙烯的产率和选择性。 解:乙醇总消耗量 = 0.50 - 0.03 = 0.47kg 其转化率xA = 0.470.50  100% = 94% 设生成0.26kg 乙烯需乙醇a kg a = 0.26  4628 = 0.427kg 乙烯的选择性 Sp = 0.4270.47 = 0.909 2 乙烯的收率 Yp = Sp· x A = 0.909  0.94 = 0.854 4-5 在间歇操作搅拌釜中用醋酸和丁醇反应生产醋酸丁酯,反应式为: CH3COOH + C4H9OH  42SOH CH3COOC4H9 + H2O ( A) (B) ( R) ( S) 已知反应在100℃下进行,动力学方程为 (-rA)= 2.9 10-7cA2mol·m-3·s-1。反应物配比为丁醇: 醋酸 = 4.972 : 1(摩尔比),每天生产醋酸丁酯2400kg(忽略分离损失),辅助生产时间为30min,混合物的密度视为常数。等于750kg·m-3,试求当醋酸的转化率为50%时所需反应器的体积大小(装料系数取0.7)。 解:MA = 60 MB = 74 MR = 116 cA,0 = 14.972  74 + 1 60  750 = 1.753kmol·m-3 = 1753 mol·m-3 qn,A,0 = 240024  116  0.5 = 1.724 kmol·h-1 = 1.7...

1、当您付费下载文档后,您只拥有了使用权限,并不意味着购买了版权,文档只能用于自身使用,不得用于其他商业用途(如 [转卖]进行直接盈利或[编辑后售卖]进行间接盈利)。
2、本站所有内容均由合作方或网友上传,本站不对文档的完整性、权威性及其观点立场正确性做任何保证或承诺!文档内容仅供研究参考,付费前请自行鉴别。
3、如文档内容存在违规,或者侵犯商业秘密、侵犯著作权等,请点击“违规举报”。

碎片内容

(筛选)第四章作业答案

小辰+ 关注
实名认证
内容提供者

出售各种文档和资料

确认删除?
VIP
微信客服
  • 扫码咨询
会员Q群
  • 会员专属群点击这里加入QQ群
客服邮箱
回到顶部