电脑桌面
添加小米粒文库到电脑桌面
安装后可以在桌面快捷访问

完整版专升本高数练习题带答案VIP免费

完整版专升本高数练习题带答案_第1页
1/12
完整版专升本高数练习题带答案_第2页
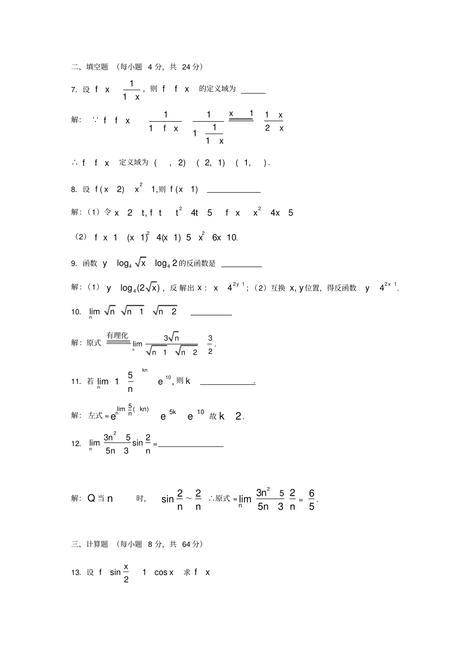
2/12
完整版专升本高数练习题带答案_第3页
3/12
第一部分:1.下面函数与yx 为同一函数的是()2.A yx2.B yxln.xC ye.lnxD ye解:lnlnxyexexQ,且定义域,,∴选 D 2.已知是 f 的反函数,则2fx 的反函数是()1.2A yx.2B yx1.22C yx.22D yx解: 令2,yfx反解出 x :1,2xy互换 x , y 位置得反函数12yx ,选 A 3.设 fx 在,有定义,则下列函数为奇函数的是().A yfxfx.B yx fxfx32.C yx fx.D yfxfx解:32yx fxQ的定义域,且3232yxxfxx fxy x ∴选 C 4.下列函数在,内无界的是()21.1A yx.arctanB yx.sincosC yxx.sinD yxx解: 排除法: A 21122xxxx有界, B arctan2x有界, C sincos2xx,故选 D 5.数列nx有界是 limnnx 存在的()A 必要条件B 充分条件C 充分必要条件D 无关条件解:Qnx收敛时,数列nx 有界(即nxM ),反之不成立, (如11n有界,但不收敛,选 A. 6.当 n时,2 1sinn与 1kn为等价无穷小,则k = ()A 12B 1 C 2 D -2 解: Q2211sinlimlim111nnkknnnn,2k选 C 二、填空题 (每小题 4 分,共 24 分)7.设11fxx,则 ffx的定义域为解: ffx111111fxx112xxx∴ ffx定义域为 (, 2)( 2, 1)( 1,) . 8.设2(2)1,f xx则(1)f x解:(1)令22,45xt f ttt245fxxx(2)221(1)4(1) 5610f xxxxx. 9.函数44loglog 2yx的反函数是解:(1)4log (2)yx ,反 解出 x :214yx;(2)互换,x y位置,得反函数214xy. 10. lim12nnnn解:原式33lim212nnnn有理化. 11.若105lim 1,knnen则 k. 解: 左式 =5lim()510nknkneee故2k. 12.2352limsin53nnnn= 解: Q 当 n时,2sin n~ 2n∴原式 =2532lim 53nnnn= 65. 三、计算题 (每小题 8 分,共 64 分)13.设sin1cos2xfx求 fx解:22sin2cos2 1 sin222xxxfQ22 1f.故22 1fxx. 14.设 fxln x, g x 的反函数1211xgxx,求 fg x解: (1)求22():1xgxyxQ∴反解出 x:22xyyx22xyy互换,x y 位置得()22gxxx(2)lnln22fgxgxxx. 15.设32lim8nnnana,求 a 的值。解:3323limlim1nnnnnaananaQlim,nnaan aee8ae,故ln83ln 2a. 16.求111lim1 22 31nnn n解:(1)拆项,11(1)(1)kkk kkk111,2,,1knkk1111 22 31n n1111112231nn111n(2)原式 =lim11111limnnnnneen*选做题1 已知222(1)(21)126n nnn,求22233312lim12nnnnnn解: 222312nnnQ2222233311211nnnnnn且222312limnnnn31 (21)1lim36nn nnnn222...

1、当您付费下载文档后,您只拥有了使用权限,并不意味着购买了版权,文档只能用于自身使用,不得用于其他商业用途(如 [转卖]进行直接盈利或[编辑后售卖]进行间接盈利)。
2、本站所有内容均由合作方或网友上传,本站不对文档的完整性、权威性及其观点立场正确性做任何保证或承诺!文档内容仅供研究参考,付费前请自行鉴别。
3、如文档内容存在违规,或者侵犯商业秘密、侵犯著作权等,请点击“违规举报”。

碎片内容

完整版专升本高数练习题带答案

确认删除?
VIP
微信客服
  • 扫码咨询
会员Q群
  • 会员专属群点击这里加入QQ群
客服邮箱
回到顶部