电脑桌面
添加小米粒文库到电脑桌面
安装后可以在桌面快捷访问

高三数学文科三角函数的图象、性质 人教版考试卷VIP免费

高三数学文科三角函数的图象、性质 人教版考试卷_第1页
1/6
高三数学文科三角函数的图象、性质 人教版考试卷_第2页
2/6
高三数学文科三角函数的图象、性质 人教版考试卷_第3页
3/6
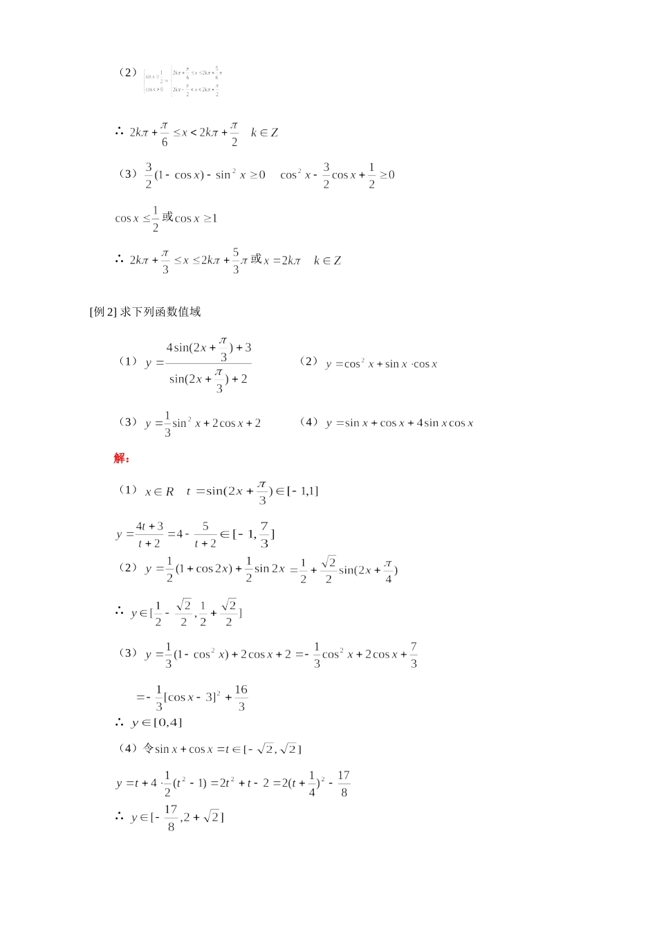
高三数学文科三角函数的图象、性质一. 本周教学内容:三角函数的图象、性质二. 重点、难点: 定义域:R值域:最小正周期:对称轴: 对称中心: 奇偶性:若奇函数 若偶函数单调性: 【典型例题】[例 1] 求下列函数定义域(1)(2)(3)解:(1) ∴ (2)∴ (3) 或∴ 或 [例 2] 求下列函数值域(1) (2)(3) (4)解:(1) (2)∴ (3) ∴ (4)令∴ [例 3] 判断下列函数奇偶性(1)(2)(3)解:(1) ∴ 偶函数(2) ∴ 奇函数(3)非奇非偶 定义域不对称[例 4] 求下列函数最小正周期(1) (2)(3) (4)(5) (6)解:(1) ∴ T=(2) ∴ T=2(3)∴ T=(4) T= ∴ T=(5)图象法证明 T=(6)图象法 T=2[例 5] 求下列函数增区间(1) (2)(3) (4)解:(1) ∴ (2) (3)∴ (4) [例 6] 函数,时,过 A(0,1),B(),当时,,求。解: ∴ (1) (2) 无解∴ (答题时间:40 分钟)1. 如果,那么函数的定义域是( )A. B. C. D. 2. 函数的值域是( ) A. B. C. D. 3. 下列函数中,最小正周期为的偶函数是( )A. B. C. D. 4. 函数的最大值和最小正周期分别是( ) A. B. C. D. 5. 下列给出的函数中,既是偶函数,又在上递增且最小正周期是的函数是( ) A. B. C. D. 6. 已知,且,那么的最小值是( ) A. B. C. D. 7. 函数在区间上是增函数,且,,则函数在上( ) A. 是增函数 B. 减函数 C. 可以取得最大值 M D. 可以取得最小值8. 下列命题正确的有( )(1)的最大值是 1;(2)的最小值是(3)的最大值是(4)已知,那么的最大值是 A.(1)(2) B.(2)(3) C.(3)(4) D.(2)(4)9. 函数的定义域是 。10. 函数的最小正周期是 。11. 函数在区间(0,)内的最小值为 。12. 已知,则函数的值域是 。13. 若是以 3 为周期的奇函数,且,则 。[参考答案]1. C 2. A 3. D 4. C 5. D 6. C 7. C 8. C9. 且10. 11. 12. 13. 2

1、当您付费下载文档后,您只拥有了使用权限,并不意味着购买了版权,文档只能用于自身使用,不得用于其他商业用途(如 [转卖]进行直接盈利或[编辑后售卖]进行间接盈利)。
2、本站所有内容均由合作方或网友上传,本站不对文档的完整性、权威性及其观点立场正确性做任何保证或承诺!文档内容仅供研究参考,付费前请自行鉴别。
3、如文档内容存在违规,或者侵犯商业秘密、侵犯著作权等,请点击“违规举报”。

碎片内容

高三数学文科三角函数的图象、性质 人教版考试卷

您可能关注的文档

;绿洲书城+ 关注
实名认证
内容提供者

从事历史教学,热爱教育,高度负责。

相关文档

确认删除?
VIP
微信客服
  • 扫码咨询
会员Q群
  • 会员专属群点击这里加入QQ群
客服邮箱
回到顶部