电脑桌面
添加小米粒文库到电脑桌面
安装后可以在桌面快捷访问

高一下学期期末考试数学答案 江西省南昌市高一数学下学期期末考试考试卷(PDF)VIP免费

高一下学期期末考试数学答案 江西省南昌市高一数学下学期期末考试考试卷(PDF)_第1页
1/3
高一下学期期末考试数学答案 江西省南昌市高一数学下学期期末考试考试卷(PDF)_第2页
2/3
高一下学期期末考试数学答案 江西省南昌市高一数学下学期期末考试考试卷(PDF)_第3页
3/3
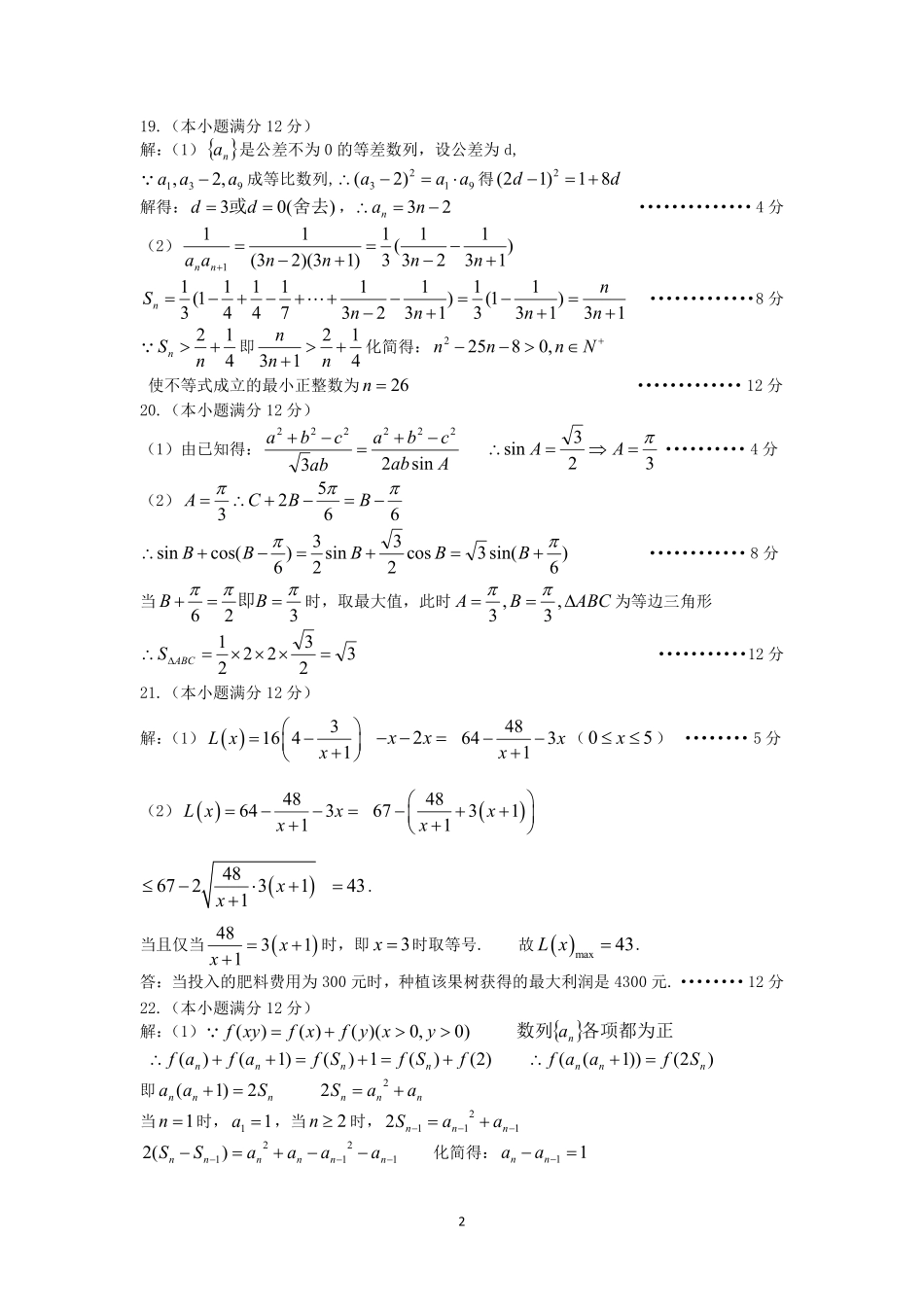
1南昌十中 2016-2017 学年下学期期末考试参考答案一、选择题题号123456789101112答案DBDCBCABDBCA二、填空题13.)4,23(14.18.015. 6716.52 三、简答题17.(本小题满分 10 分)(1)所有可能结果数为:25.所有可能结果为:(1,1)(1,2)(1,3)(1,4)(1,5)(2,1)(2,2)(2,3)(2,4)(2,5)(3,1)(3,2)(3,3)(3,4)(3,5)(3,6)(4,1)(4,2)(4,3)(4,4)(4,5)(5,1)(5,2)(5,3)(5,4)(5,5)·····5 分(2)记 A=“取出卡片的号码之和不小于 7”,事件 A 的频数为 10,则522510)(AP记 B=“取出卡片号码之和小于 5”,事件 B 的频数为 6,则256)(BP事件“取出卡片号码之和不小于 7 或小于 5”的概率251625652P··········10 分18.(本小题满分 12 分)解:(Ⅰ)由题可知,第 2 组的频数为 0.35×100=35 人第 3 组的频率为300.010030 所以①处的数据为 35,②处的数据为 0.300。……………4 分(Ⅱ)因为第 3,4,5 组共有 60 名学生,所以利用分层抽样在 60 名学生中抽取 6 名学生,每组学生人数分别为:第 3 组:366030人;第 4 组:266020人;第 5 组:166010人。所以第 3,4,5 组分别抽取 3 人,2 人,1 人。……………8 分(Ⅲ)设第 3 组 3 位同学为 A1,A2,A3,第 4 组 2 位同学为 B1,B2,第 5 组 1 位同学为 C1,则从 6 位同学中抽两位同学的情况分别为:(A1,A2),(A1,A3),(A1,B1),(A1,B2),(A1,C1),(A2,A3),(A2,B1),(A2,B2),(A2,C1),(A3,B1),(A3,B2),(A3,C1),(B1,B2),(B1,C1),(B2,C1)。共有 15 种可能。其中第 4 组的两位同学至少有一位同学被选中的情况分别为:(A1,B1),(A1,B2),(A2,B1),(A2,B2),(A3,B1),(A3,B2),(B1,C1),(B2,C1),(B1,B2)。共有 9 种可能。所以,第4 组中至少有一名学生被抽中的概率为53159 。··············12 分219.(本小题满分 12 分)解:(1) na是公差不为 0 的等差数列,设公差为 d,931,2,aaa成等比数列,9123)2(aaa得dd81)12(2解得:)(03舍去或dd,23 nan··············4 分(2))131231(31)13)(23(111nnnnaann13)1311(31)13123171414...

1、当您付费下载文档后,您只拥有了使用权限,并不意味着购买了版权,文档只能用于自身使用,不得用于其他商业用途(如 [转卖]进行直接盈利或[编辑后售卖]进行间接盈利)。
2、本站所有内容均由合作方或网友上传,本站不对文档的完整性、权威性及其观点立场正确性做任何保证或承诺!文档内容仅供研究参考,付费前请自行鉴别。
3、如文档内容存在违规,或者侵犯商业秘密、侵犯著作权等,请点击“违规举报”。

碎片内容

高一下学期期末考试数学答案 江西省南昌市高一数学下学期期末考试考试卷(PDF)

您可能关注的文档

确认删除?
VIP
微信客服
  • 扫码咨询
会员Q群
  • 会员专属群点击这里加入QQ群
客服邮箱
回到顶部