电脑桌面
添加小米粒文库到电脑桌面
安装后可以在桌面快捷访问

高一数学下学期学情检测5月月考考试卷(PDF)参考答案VIP免费

高一数学下学期学情检测5月月考考试卷(PDF)参考答案_第1页
1/13
高一数学下学期学情检测5月月考考试卷(PDF)参考答案_第2页
2/13
高一数学下学期学情检测5月月考考试卷(PDF)参考答案_第3页
3/13
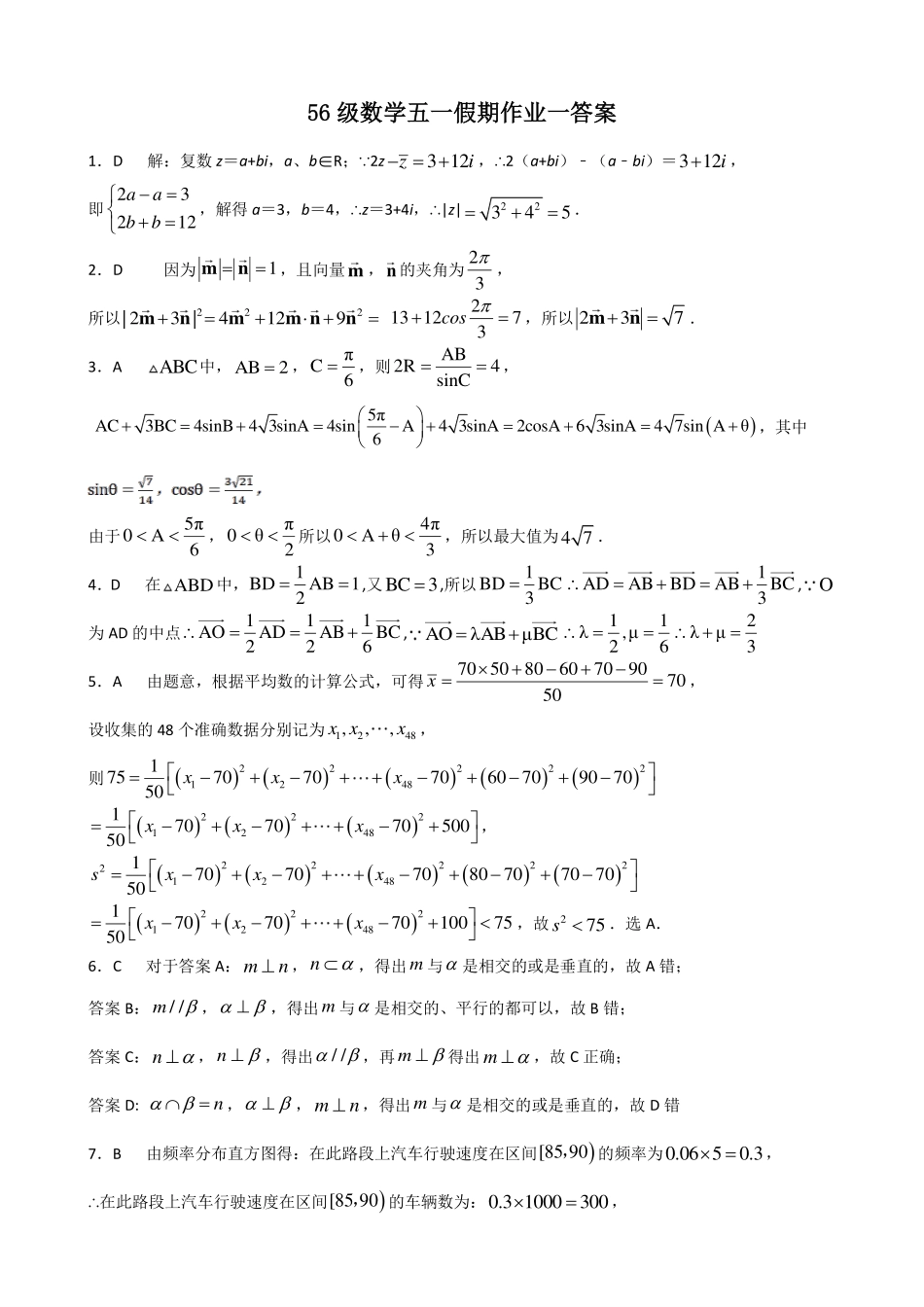
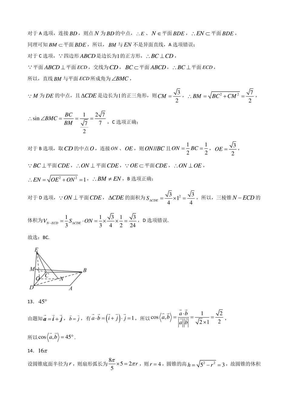
56 级数学五一假期作业一答案 1.D 解:复数 z=a+bi,a、b∈R; 2z3 12zi− = +,∴2(a+bi)﹣(a﹣bi)=3 12i+, 即 23212aabb−=+=,解得 a=3,b=4,∴z=3+4i,∴|z|22345=+=. 2.D 因为1==mn,且向量m , n 的夹角为 23 , 所以222| 23 |4129+=++=mnmm nn 213 1273cos +=,所以 237+=mn. 3.A ABC中,AB2=,πC6=,则AB2R4sinC==,()5π AC3BC4sinB4 3sinA4sinA4 3sinA2cosA6 3sinA4 7sin Aθ6+=+=−+=+=+,其中 由于5π0A6,π0θ2所以4π0Aθ3+,所以最大值为4 7 . 4.D 在 ABD 中,1BDAB12==,又BC3=,所以1BDBC3=1ADABBDABBC3=+=+,O为 AD 的中点111AOADABBC226==+,AOλAB μBC=+11λ,μ26==2λμ3 += 5.A 由题意,根据平均数的计算公式,可得70 50806070907050x+−+−==, 设收集的 48 个准确数据分别记为1248,,,x xx, 则()()()()()2222212481757070706070907050xxx=−+−++−+−+− ()()()2221248170707050050xxx=−+−++−+ , ()()()()()222222124817070708070707050sxxx=−+−++−+−+− ()()()222124817070701007550xxx=−+−++−+,故275s .选 A. 6.C 对于答案 A:mn⊥,n,得出m 与 是相交的或是垂直的,故 A 错; 答案 B:/ /m ,⊥,得出m 与 是相交的、平行的都可以,故 B 错; 答案 C:n⊥, n⊥,得出/ / ,再m⊥得出m⊥,故 C 正确; 答案 D: n=,⊥,mn⊥,得出m 与 是相交的或是垂直的,故 D 错 7.B 由频率分布直方图得:在此路段上汽车行驶速度在区间)[85 90,的频率为0.06 50.3 =, ∴在此路段上汽车行驶速度在区间)[85 90,的车辆数为:0.3 1000300=, 行驶速度超过90/km h 的频率为:()0.050.0250.35+ =.故选:B. 8.D 9.ABD 对于选项 A,从图可以看出同比涨跌幅均为正数,故 A 正确; 对于选项 B,从图可以看出环比涨跌幅有正数有负数,故 B 正确; 对于选项 C,从图可以看出同比涨幅最大的是 2018 年 9 月份和 2018 年 10 月份,故 C 错误; 对于选项 D,从图可以看出 2019 年 3 月全国居民消费价格环比变化最快,故 D 正确.故选 ABD. 10.AC 由 coscoscosabcABC==,利用正弦定理可得 sinsinsincoscoscosABCABC==,即ta...

1、当您付费下载文档后,您只拥有了使用权限,并不意味着购买了版权,文档只能用于自身使用,不得用于其他商业用途(如 [转卖]进行直接盈利或[编辑后售卖]进行间接盈利)。
2、本站所有内容均由合作方或网友上传,本站不对文档的完整性、权威性及其观点立场正确性做任何保证或承诺!文档内容仅供研究参考,付费前请自行鉴别。
3、如文档内容存在违规,或者侵犯商业秘密、侵犯著作权等,请点击“违规举报”。

碎片内容

高一数学下学期学情检测5月月考考试卷(PDF)参考答案

您可能关注的文档

星河书苑+ 关注
实名认证
内容提供者

从事历史教学,热爱教育,高度负责。

确认删除?
VIP
微信客服
  • 扫码咨询
会员Q群
  • 会员专属群点击这里加入QQ群
客服邮箱
回到顶部