电脑桌面
添加小米粒文库到电脑桌面
安装后可以在桌面快捷访问

高三数学短卷训练(3)考试卷VIP免费

高三数学短卷训练(3)考试卷_第1页
1/7
高三数学短卷训练(3)考试卷_第2页
2/7
高三数学短卷训练(3)考试卷_第3页
3/7
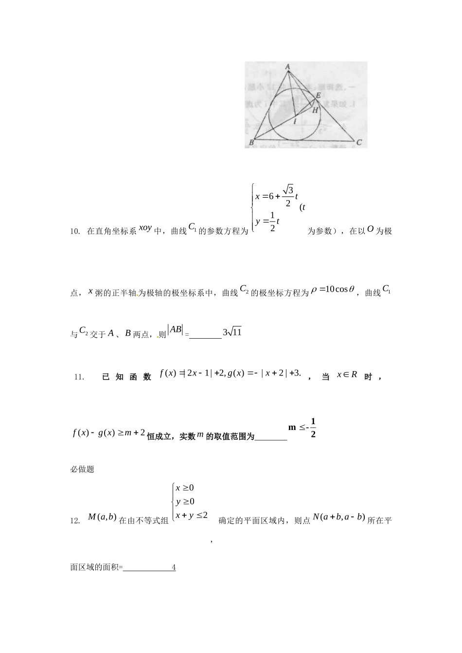
湖南省浏阳市第六中学高三数学短卷训练(3)一.选择题1.若 i 为虚数单位,已知 a+bi=(a,b∈R),则点(a,b)与圆 x2+y2=2 的关系为( )AA.在圆外 B.在圆上C.在圆内 D.不能确定2. 设集合2,Ax xxR≤,2|, 12By yxx ≤≤,则∁RAB等于 BA.RB.(, 2)(0,)  C.(, 1)(2,)  D.3. 已 知 定 义 域 为 R 的 函 数 xf是 奇 函 数 , 当0x时 , xf|2ax |-2a ,且对xR,恒有  xfxf1,则实数a 的取值范围为 BA.[0,2] B.[- 21, 21] C.[-1,1] D.[-2,0] 4. 执行如图所示的程序框图,输出的 i 值为 ( )A(A)5 (B)6 (C)7 (D)85.一个几何体的三视图如图所示,则这个几何体的表面积为A.56  B. 526  C. 58  D. 528 [来6.直线3yx与椭圆2222:1xyC ab(0ab)交于 AB、两点,以线段 AB 为直径的圆恰好经过椭圆的右焦点,则椭圆C 的离心率为 CA.32B.312C.31D. 42 37. 如图,设 D 是图中所示的矩形区域,E 是 D 内函数xycos图象上方的点构成的区域,向D中随机投一点,则该点落入E(阴影部分)中的概率为( )DA. 2 B. 1 C. 21 D.28. 已知定义域为 R 的函数  xf是奇函数,当0x时,  xf|2ax |-2a ,且对xR,恒有  xfxf1,则实数a 的取值范围为 BA.[0,2] B.[- 21, 21] C.[-1,1] D.[-2,0] 二.填空题选做题(三道题中选做两题,若全做则按前两道答案计分)9. 锐角△ABC 的内心为 I,过点 A 作直线 BI 的垂线,垂足为 H,点 E 为内切圆 I 与边 CA 的切点. 若∠C=50 ,则∠IEH 的度数= 25 .IEH 10. 在直角坐标系 xoy 中,曲线1C 的参数方程为362(12xttyt  为参数),在以 O 为极点, x 粥的正半轴 为极轴的极坐标系中,曲线2C 的极坐标方程为10cos,曲线1C与2C 交于 A 、 B 两点,则 AB = 3 1111. 已 知 函 数( ) | 21| 2, ( )|2 | 3.f xxg xx, 当xR时 ,( )( )2f xg xm恒成立,实数m 的取值范围为 21-m 必做题12. ( , )M a b 在由不等式组002xyxy ,确定的平面区域内,则点(,)N ab ab所在平面区域的面积...

1、当您付费下载文档后,您只拥有了使用权限,并不意味着购买了版权,文档只能用于自身使用,不得用于其他商业用途(如 [转卖]进行直接盈利或[编辑后售卖]进行间接盈利)。
2、本站所有内容均由合作方或网友上传,本站不对文档的完整性、权威性及其观点立场正确性做任何保证或承诺!文档内容仅供研究参考,付费前请自行鉴别。
3、如文档内容存在违规,或者侵犯商业秘密、侵犯著作权等,请点击“违规举报”。

碎片内容

高三数学短卷训练(3)考试卷

您可能关注的文档

确认删除?
VIP
微信客服
  • 扫码咨询
会员Q群
  • 会员专属群点击这里加入QQ群
客服邮箱
回到顶部