电脑桌面
添加小米粒文库到电脑桌面
安装后可以在桌面快捷访问

高一数学3月月考考试卷(PDF)答案VIP免费

高一数学3月月考考试卷(PDF)答案_第1页
1/7
高一数学3月月考考试卷(PDF)答案_第2页
2/7
高一数学3月月考考试卷(PDF)答案_第3页
3/7
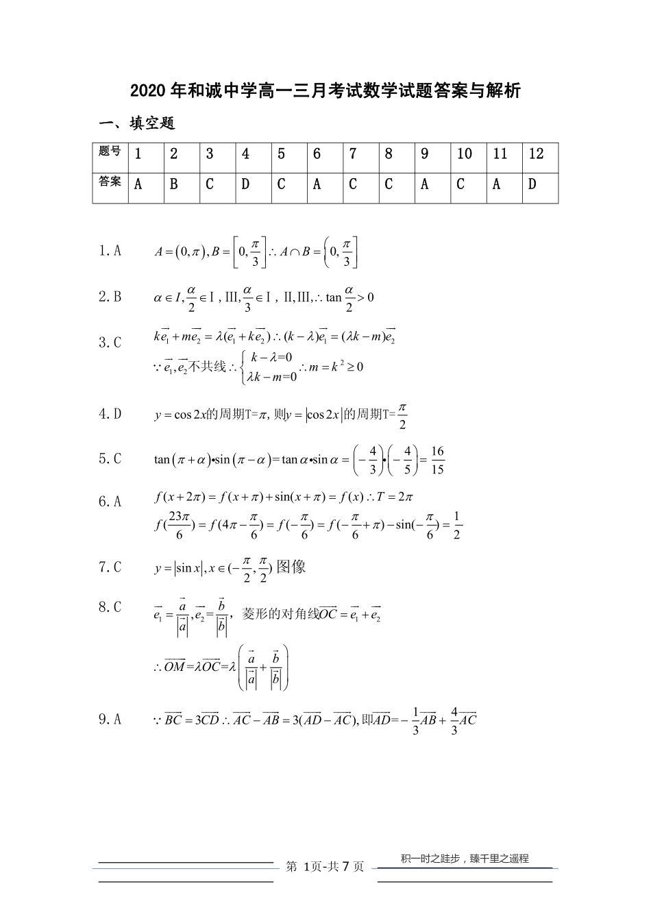
第 1页-共 7 页积一时之跬步,臻千里之遥程2020 年和诚中学高一三月考试数学试题答案与解析一、填空题题号123456789101112答案ABCDCACCACAD1.A0,,0,0,33ABAB 2.B,tan0232,I  Ⅰ,Ⅲ,Ⅰ,Ⅱ Ⅲ,3.C121212212()()()=0,0=0kemeekekekm eke emkkm 不共线4.Dcos2cos22yxyx的周期T= ,则的周期T=5.C4416tansin= tansin3515    6.A(2 )()sin()( )2231()(4)()()sin()666662f xf xxf xTffff7.Csin,(,)2 2yx x  图像8.C1212,===abeeOCeeababOMOCab,菱形的对角线9.A1433(),=33BCCDACABADACADABAC即第 2页-共 7 页积一时之跬步,臻千里之遥程10.C2(),0,()( ),626271,()( ),( )sin(2)2663222()2622()63kkZkkffkfff xxkxkkZkxkkZ 取舍取成立的单增区间为解得11.A511( ),02881115223488355()2sin()2,81212xf xTTTf为图像的一条对称轴,为一个对称点,且又且12.D1234123412131423243421 cos()sin1,0,, ( )1 sin()22( ),0,4=2( ),0,4(01),,,,04,3,45,5,5,56,7g xxy g x xTy g x xyx x x xxxxxxxxxxxxxxxxx  又作 =的图像,如下图,,则 =与=有四个不同的交点横坐标满足且从四个数中任选两个,他4263们的和不超过5的概率为P=二、填空题13. 21(,0)4k 2121(),(,0)4244kkkxkzx点为对称点14. 3sin 2sin 2()sin(2)sin(2)6334302sin(2)1,3( )2233323( )303yxyxxyxxxxf xyf xaaa ===2的最小值为第 3页-共 ...

1、当您付费下载文档后,您只拥有了使用权限,并不意味着购买了版权,文档只能用于自身使用,不得用于其他商业用途(如 [转卖]进行直接盈利或[编辑后售卖]进行间接盈利)。
2、本站所有内容均由合作方或网友上传,本站不对文档的完整性、权威性及其观点立场正确性做任何保证或承诺!文档内容仅供研究参考,付费前请自行鉴别。
3、如文档内容存在违规,或者侵犯商业秘密、侵犯著作权等,请点击“违规举报”。

碎片内容

高一数学3月月考考试卷(PDF)答案

您可能关注的文档

远洋启航书店+ 关注
实名认证
内容提供者

从事历史教学,热爱教育,高度负责。

确认删除?
VIP
微信客服
  • 扫码咨询
会员Q群
  • 会员专属群点击这里加入QQ群
客服邮箱
回到顶部