电脑桌面
添加小米粒文库到电脑桌面
安装后可以在桌面快捷访问

完整版必修二立体几何较难题汇总VIP免费

完整版必修二立体几何较难题汇总_第1页
1/15
完整版必修二立体几何较难题汇总_第2页
2/15
完整版必修二立体几何较难题汇总_第3页
3/15
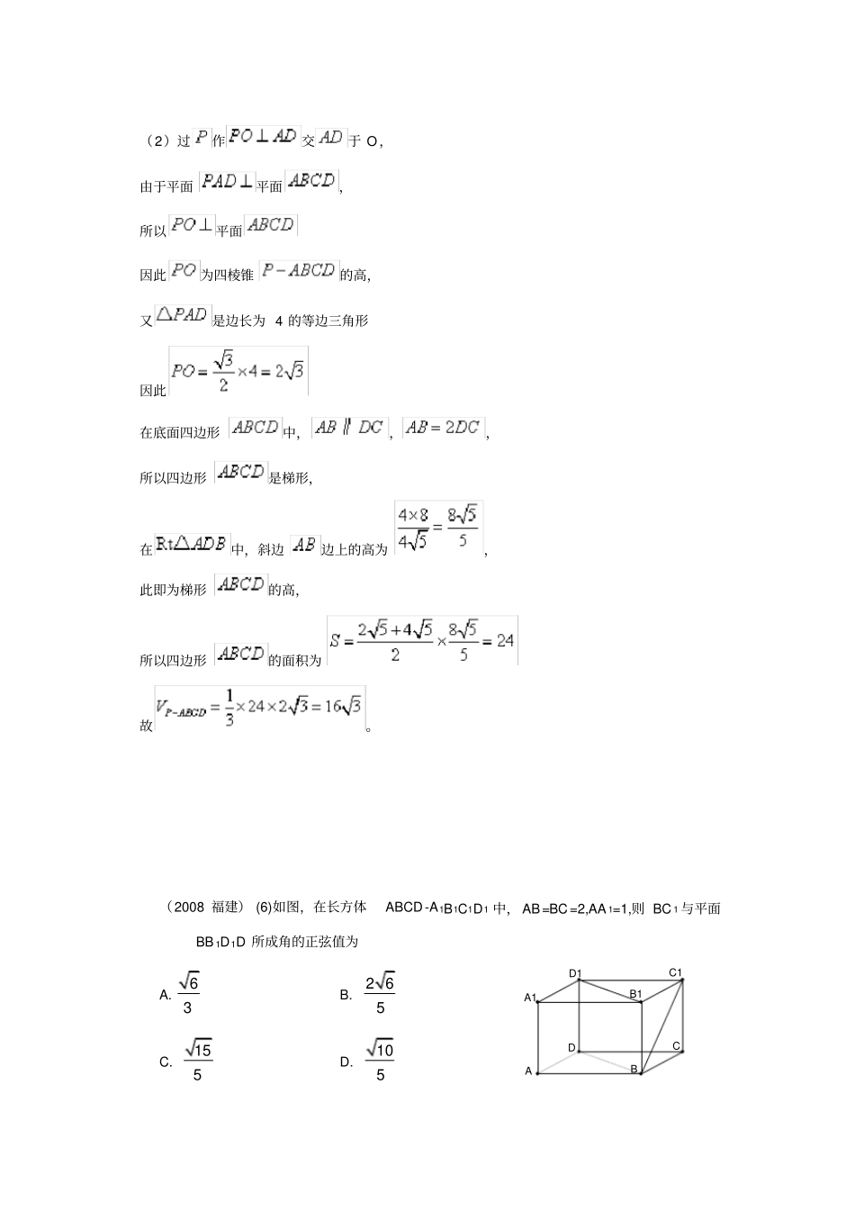
1.四面体 ABCD 四个面的重心分别为E、F、G、H,则四面体 EFGH 的表面积与四面体 ABCD 的表面积的比值是()A) 271B) 161C) 91D) 81如图,连接 AF、AG 并延长与 BC、CD 相交于 M 、N ,由于 F、G 分别是三角形的重心,所以 M 、N 分别是 BC、CD 的中点,且 AF:AM=AG :AN=2 :3,所以 FG:MN=2 :3,又 MN :BD=1 :2,所以 FG:BD=1 :3,即两个四面体的相似比是1:3,所以两个四面体的表面积的比是1:9;故选 C.如图,平面α∥平面 β∥平面 γ,两条直线l ,m 分别与平面α,β,γ 相交于点A,B,C和点 D,E,F.已知 AC=15cm ,DE =5cm ,AB ︰ BC=1︰3 ,求 AB ,BC, EF 的长设平面α ‖β,A 、C∈α ,B、D∈β 直线 AB与 CD交于 S,若 AS=18,BS=9,CD=34,则 CS=?68/3 或 68 与空间四边形ABCD 四个顶点距离相等的平面共有多少个? 七个你可以把它想象成一个三棱锥四个顶点各对应一个有四个,两条相对棱对应一个共三组相对棱因此有三个总共有七个如图,在四棱锥P-ABCD中,平面 PAD ⊥平面 ABCD ,AB ∥DC,△PAD 是等边三角形,已知 BD=2AD=8, AB=2DC=。(1)设 M 是 PC 上的一点,证明:平面MBD ⊥平面 PAD ;(2)求四棱锥P-ABCD 的体积解:( 1)证明:在中,由于,,,所以故又平面平面,平面平面,平面,所以平面,又平面,故平面平面。C1D1CA1ABDB1(2)过作交于 O ,由于平面平面,所以平面因此为四棱锥的高,又是边长为 4 的等边三角形因此在底面四边形中,,,所以四边形是梯形,在中,斜边边上的高为,此即为梯形的高,所以四边形的面积为故。(2008 福建) (6)如图,在长方体ABCD -A1B1C1D1 中, AB=BC=2,AA 1=1,则 BC 1 与平面BB 1D1D 所成角的正弦值为A.63B. 2 65C. 155D. 105?AB?.(15)如图,二面角l的大小是 60° ,线段 AB. Bl ,AB 与 l 所成的角为30° . 则 AB 与平面所成的角的正弦值是34 . 19.(本小题满分12 分)如图,直三棱柱ABC-A1B1C1 中, AC=BC=21AA1,D 是棱 AA1 的中点, DC 1⊥BD。(1)证明: DC 1⊥BC;(2)求二面角A1-BD-C1 的大小。【解析】(1)在 Rt DAC 中, ADAC ,得:45ADC,同理:1114590A DCCDC,得:1DCDC 。又 DC1⊥BD, DCBDDI,所以1DC平面 BCD 。而 BC平面 BCD ,所以1DCBC 。(2)解法一:(几何法)由11,DCBC CCBCBC面11ACC ...

1、当您付费下载文档后,您只拥有了使用权限,并不意味着购买了版权,文档只能用于自身使用,不得用于其他商业用途(如 [转卖]进行直接盈利或[编辑后售卖]进行间接盈利)。
2、本站所有内容均由合作方或网友上传,本站不对文档的完整性、权威性及其观点立场正确性做任何保证或承诺!文档内容仅供研究参考,付费前请自行鉴别。
3、如文档内容存在违规,或者侵犯商业秘密、侵犯著作权等,请点击“违规举报”。

碎片内容

完整版必修二立体几何较难题汇总

确认删除?
VIP
微信客服
  • 扫码咨询
会员Q群
  • 会员专属群点击这里加入QQ群
客服邮箱
回到顶部