电脑桌面
添加小米粒文库到电脑桌面
安装后可以在桌面快捷访问

完整版解三角形基础测试题VIP免费

完整版解三角形基础测试题_第1页
1/5
完整版解三角形基础测试题_第2页
2/5
完整版解三角形基础测试题_第3页
3/5
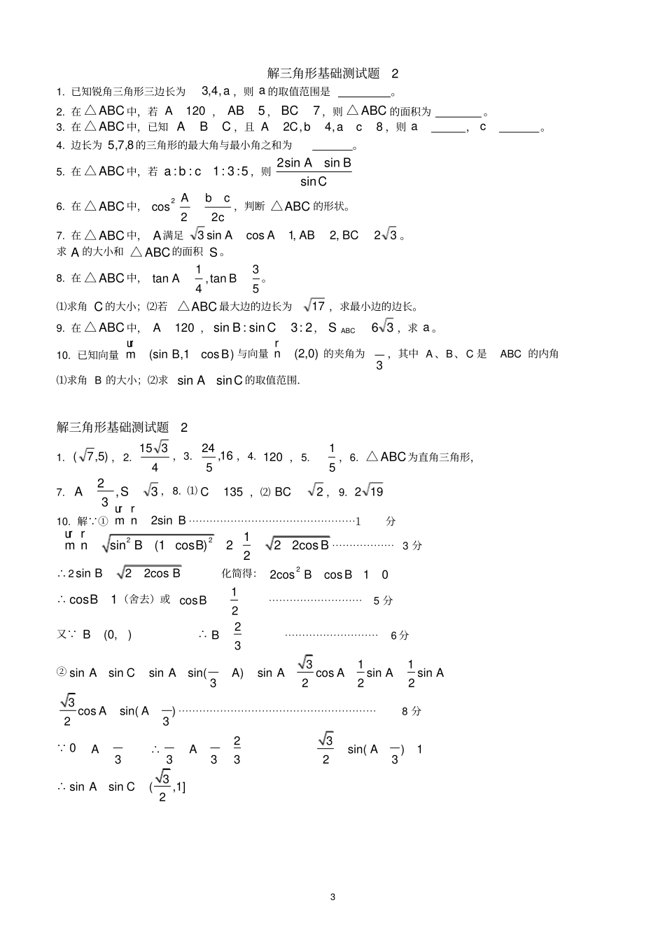
1 解三角形基础测试题1 1. 在ABC△中,已知10c,75A,45C,求 b。2. 在ABC△中,已知22b,60A,45B,求 c 。3. 在ABC△中,已知3b,1c,60B,求 A。4. 在ABC△中,已知3a,2b,45B,解三角形。5. 在ABC△中,已知120,2,1Cba,则 c。6. ABC△的内角 ABC, ,的对边分别为 abc, ,。若3c,5b,30B,则 a。7.在ABC△中,三个角A,B,C 的对边边长分别为6,4,3cba,则CabBcaAbccoscoscos。8. 在锐角ABC△中,1BC,AB2,则cosACA的值等于, AC 的取值范围为。9. 在ABC△中,求证:cbaAbBa22coscos10. 在ABC△中,若1,150,31tanBCCA,则 AB。11. 在ABC△中,5cos13A,3cos5B.⑴求 sinC 的值;⑵设5BC,求ABC△的面积.12. 在ABC 中,角,,A B C 所对的边分别为, ,a b c ,且满足2 5cos25A,3AB ACuuur uuur.⑴求ABC 的面积;⑵若1c,求 a 的值;⑶若6bc,求 a 的值.2 解三角形基础测试题1 答案:1. 65,2. 26,3. 90 ,4. 12060 或A,5. 7 ,6. 2173,7. 261 ,8. 2,)3,2(,9. 略, 10. 210 ,11. 解:⑴由5cos13A,得12sin13A,由3cos5B,得4sin5B. ···········································································2 分所以16sinsin()sincoscossin65CABABAB. ·····································5 分⑵由正弦定理得45sin13512sin313BCBACA. ················································8 分所以ABC△的面积1sin2SBCACC113165236583.10 分12. 解:⑴531)552(212cos2cos22 AA又),0(A,54cos1sin2 AA,而353cos...bcAACABACAB,所以5bc,所以ABC 的面积为:254521sin21Abc⑵由⑴知5bc,而1c,所以5b所以5232125cos222Abccba⑶对于5bc,又6bc,5,1bc或1,5bc,由余弦定理得2222cos20abcbcA,2 5a3 解三角形基础测试题21. 已知锐角三角形三边长为a,4,3,则 a 的取值范围是。2. 在ABC△中,若120A,5AB,7BC,则ABC△的面积为。3. 在ABC△中,已知CBA,且8,4,2cabCA,则 a, c。4. 边长为8,7,5的三角形的最大角与最小角之和为。5. 在ABC△中,若5:3:1::cba,则CBAsinsinsin26. 在ABC△中,ccbA22cos2,判断ABC△的形状。7. 在ABC△中, A满足32,2,1cossin3BCAB...

1、当您付费下载文档后,您只拥有了使用权限,并不意味着购买了版权,文档只能用于自身使用,不得用于其他商业用途(如 [转卖]进行直接盈利或[编辑后售卖]进行间接盈利)。
2、本站所有内容均由合作方或网友上传,本站不对文档的完整性、权威性及其观点立场正确性做任何保证或承诺!文档内容仅供研究参考,付费前请自行鉴别。
3、如文档内容存在违规,或者侵犯商业秘密、侵犯著作权等,请点击“违规举报”。

碎片内容

完整版解三角形基础测试题

您可能关注的文档

确认删除?
VIP
微信客服
  • 扫码咨询
会员Q群
  • 会员专属群点击这里加入QQ群
客服邮箱
回到顶部