电脑桌面
添加小米粒文库到电脑桌面
安装后可以在桌面快捷访问

完整版解析几何综合3大考点文档良心出品VIP免费

完整版解析几何综合3大考点文档良心出品_第1页
1/12
完整版解析几何综合3大考点文档良心出品_第2页
2/12
完整版解析几何综合3大考点文档良心出品_第3页
3/12
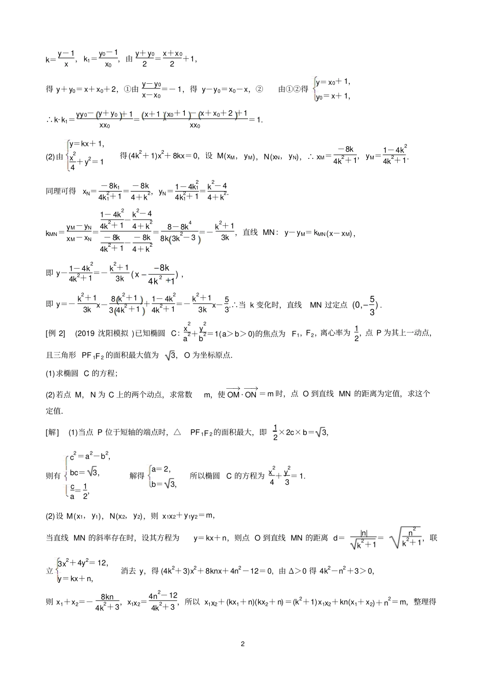
1 解析几何综合3 大考点考点一定点、定值问题[例 1]已知椭圆 C:x2a2+y2b2= 1(a>b>0)的右焦点 F(3,0),长半轴长与短半轴长的比值为2. (1)求椭圆 C 的标准方程;(2)设不经过点B(0,1)的直线 l 与椭圆 C 相交于不同的两点M,N,若点 B 在以线段 MN 为直径的圆上,证明直线 l 过定点,并求出该定点的坐标.[解](1)由题意得, c=3,ab= 2,a2=b2+c2,∴ a=2,b=1,∴椭圆 C 的标准方程为 x24 +y2=1. (2)证明:当直线l 的斜率存在时,设直线l 的方程为 y=kx+m(m≠1),M(x1,y1),N(x2,y2).由y=kx+m,x24 +y2=1,消去 y 可得 (4k2+1)x2+8kmx+ 4m2-4=0. ∴Δ=16(4k2+1-m2)>0,x1+x2=-8km4k2+ 1,x1x2=4m2-44k2+1 . 点 B 在以线段 MN 为直径的圆上,∴BM―→· BN―→ =0. BM―→· BN―→=(x1,kx1+m-1) ·(x2,kx2+ m- 1)= (k2+1)x1x2+k(m-1)(x1+x2)+ (m-1)2=0,∴(k2+1)4m2-44k2+1 +k(m-1)-8km4k2+1+(m-1)2=0,整理,得5m2-2m-3=0,解得 m=- 35或 m=1(舍去 ).∴直线l 的方程为 y=kx-35. 易知当直线l 的斜率不存在时,不符合题意.故直线l 过定点,且该定点的坐标为)53,0(. [解题技法 ]圆锥曲线中定点问题的两种解法(1)引进参数法:引进动点的坐标或动线中系数为参数表示变化量,再研究变化的量与参数何时没有关系,找到定点.(2)特殊到一般法,根据动点或动线的特殊情况探索出定点,再证明该定点与变量无关.[题组训练 ]1.如图,已知直线l:y=kx+1(k>0)关于直线 y=x+1 对称的直线为l1,直线 l ,l 1 与椭圆 E:x24 +y2=1 分别交于点 A,M 和 A,N,记直线 l1 的斜率为 k1. (1)求 k·k1 的值;(2)当 k 变化时,试问直线MN 是否恒过定点?若恒过定点,求出该定点坐标;若不恒过定点,请说明理由.解: (1)设直线 l 上任意一点P(x,y)关于直线 y=x+1 对称的点为P0(x0,y0),直线 l 与直线 l1 的交点为 (0,1),∴ l:y=kx+1, l1:y=k1x+ 1,2 k=y-1x,k1=y0-1x0,由 y+y02=x+x 02+1,得 y+y0=x+x0+2,①由 y-y0x-x0=- 1,得 y-y0=x0-x,②由①②得y=x0+ 1,y0=x+ 1,∴k·k1=yy0- y+y0 +1xx0= x+1x0+1 - x+x0+2 +1xx0=1. (2)由y=kx+ 1,x24 +y2=1得(4k2+1)x2+ 8kx=0,设 M(xM,yM),N(xN,...

1、当您付费下载文档后,您只拥有了使用权限,并不意味着购买了版权,文档只能用于自身使用,不得用于其他商业用途(如 [转卖]进行直接盈利或[编辑后售卖]进行间接盈利)。
2、本站所有内容均由合作方或网友上传,本站不对文档的完整性、权威性及其观点立场正确性做任何保证或承诺!文档内容仅供研究参考,付费前请自行鉴别。
3、如文档内容存在违规,或者侵犯商业秘密、侵犯著作权等,请点击“违规举报”。

碎片内容

完整版解析几何综合3大考点文档良心出品

文库响当当+ 关注
实名认证
内容提供者

该用户很懒,什么也没介绍

相关文档

确认删除?
VIP
微信客服
  • 扫码咨询
会员Q群
  • 会员专属群点击这里加入QQ群
客服邮箱
回到顶部