电脑桌面
添加小米粒文库到电脑桌面
安装后可以在桌面快捷访问

完整版高数各章综合测试题与答案,推荐文档VIP免费

完整版高数各章综合测试题与答案,推荐文档_第1页
1/29
完整版高数各章综合测试题与答案,推荐文档_第2页
2/29
完整版高数各章综合测试题与答案,推荐文档_第3页
3/29
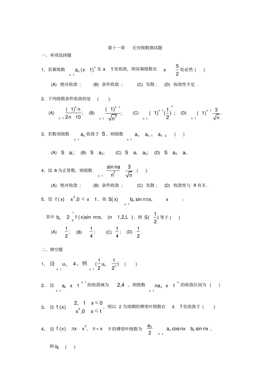
第十一章无穷级数测试题一、单项选择题1、若幂级数1(1)nnnax在1x处收敛,则该幂级数在52x处必然 ( )(A) 绝对收敛 ; (B) 条件收敛 ; (C) 发散 ; (D) 收敛性不定 .2、下列级数条件收敛的是( ).(A) 1( 1);210nnnn(B) 131( 1);nnn(C) 111( 1)() ;2nnn(D) 113( 1).nnn3、若数项级数1nna 收敛于 S ,则级数121nnnnaaa( )(A) 1;Sa(B) 2;Sa(C) 12;Saa(D) 21.Saa4、设 a 为正常数,则级数21sin3nnann( ).(A) 绝对收敛 ; (B) 条件收敛 ; (C) 发散 ; (D) 收敛性与 a 有关 .5、设2( ),01f xxx≤,而1( )sinπ ,nnS xbn xx,其中102( )sinπ ,(1,2,)nbf xn xnL,则1()2S等于 ( )(A) 1 ;2(B) 1 ;4(C) 1 ;4(D) 12.二、填空题1、 设14nnu,则111()22nnnu( )2、 设111nnnax的收敛域为2,4,则级数11nnnnax的收敛区间为 ( )3、 设32,10( ),01xf xxx≤≤,则以 2 为周期的傅里叶级数在1x处收敛于 ( )4、 设2( )π,ππf xxxx<的傅里叶级数为01cossin,2nnnaanxbnx则3b( )5、级数1( 1) 221 !nnnn的和为 ( )三、计算与应用题1、求级数113;3nnnxn的收敛域2、求2111 2nnn的和3、将函数2( )ln 12f xxx展开为 x 的幂级数,并求(1) 0nf4、求2012!nnnnxn的和函数5、 已知( )nfx 满足1( )( )enxnnfxfxx, n 为正整数,且e(1)nfn,求函数项级数1nnfx 的和函数 .6、 设有方程10nxnx,其 n 中为正整数,证明此方程存在唯一正根0x ,并证明当1 时,级数1nnx收敛 .四、证明题设π40 tandnnax x(1)求211nnnaan(2)试证:对任意常数0 ,级数1nnan收敛提示:2111nnaann n,2111nnnaan.因为211nnaan,所以111nann,1111nnnann第十一章无穷级数测试题答案与提示一、1、A; 2、D;3、B;4、C;5、 B.二、1、1;2、4,2 ;3、 32;4、 2π3; 5、 cos1 sin1.三、1、答案:0,6 .2、答案: 53 ln 284提示:原式为级数211nnxn的和函数在12x点的值 .而22221121211nnnnnnxxxnnn,分别求出2121nnxn和2121nnxn的和函数即可 .3、答案:110( 1)21 1( ),,12 2nnnnf xxxn1(1)( 1)20!1nnnfnn.提示 : 2( )ln 12ln 12ln 1f xxxxx4、答案:222011 e1,2!42xnnnnxxxxn提示:2011112!1 !2!2nnnnnnnnnxxxnnn,而1011e,e1 !!xnxnnnxxxnn5、答案:1e ln 1,1,1xnnfxxx提示:先解一阶线性微分方程,求出特解为( )exnxfxn111eexxnnnnxxfxnn,记1( )nxS xn,则可...

1、当您付费下载文档后,您只拥有了使用权限,并不意味着购买了版权,文档只能用于自身使用,不得用于其他商业用途(如 [转卖]进行直接盈利或[编辑后售卖]进行间接盈利)。
2、本站所有内容均由合作方或网友上传,本站不对文档的完整性、权威性及其观点立场正确性做任何保证或承诺!文档内容仅供研究参考,付费前请自行鉴别。
3、如文档内容存在违规,或者侵犯商业秘密、侵犯著作权等,请点击“违规举报”。

碎片内容

完整版高数各章综合测试题与答案,推荐文档

确认删除?
VIP
微信客服
  • 扫码咨询
会员Q群
  • 会员专属群点击这里加入QQ群
客服邮箱
回到顶部