电脑桌面
添加小米粒文库到电脑桌面
安装后可以在桌面快捷访问

07年上海42部门投入产出流量表VIP免费

07年上海42部门投入产出流量表_第1页
1/20
07年上海42部门投入产出流量表_第2页
2/20
07年上海42部门投入产出流量表_第3页
3/20
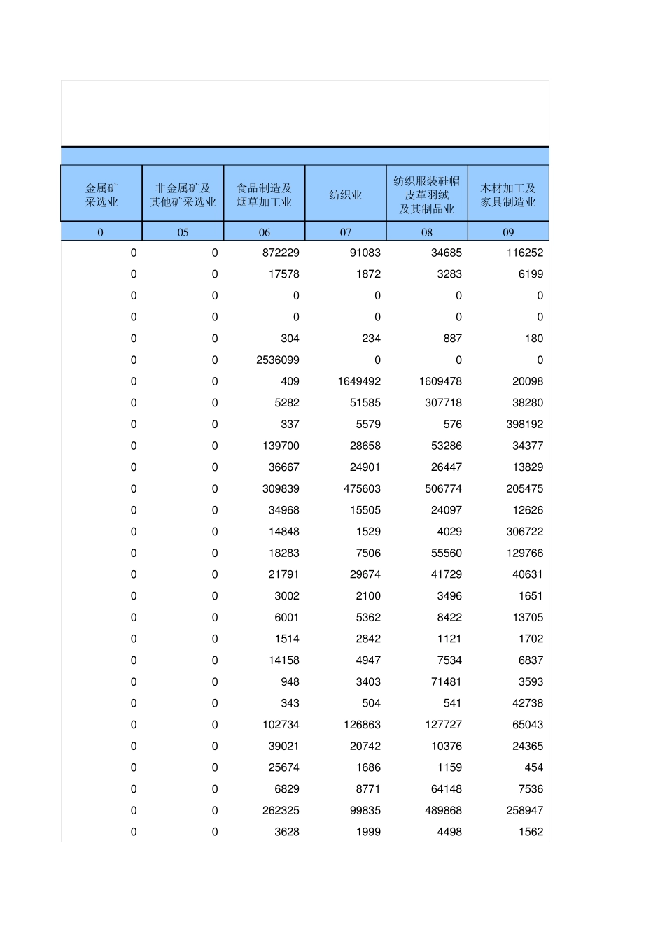
-0 10 20 3农林牧渔业0 126903200煤炭开采和洗选业0 22286800石油和天然气开采业0 3000金属矿采选业0 4000非金属矿及其他矿采选业0 53103食品制造及烟草加工业0 628249002纺织业0 73460012纺织服装鞋帽皮革羽绒及其制品业0 89280168木材加工及家具制造业0 93189019造纸印刷及文教体育用品制造业1 010408011石油加工、炼焦及核燃料加工业1 110881300化学工业1 215003301660非金属矿物制品业1 3115750158金属冶炼及压延加工业1 4691201140金属制品业1 5345501102通用、专用设备制造业1 63620505579交通运输设备制造业1 75260201264电气机械及器材制造业1 862360843通信设备、计算机及其他电子设备制造业1 97540198中仪器仪表及文化办公用机械制造业2 0120050532间工艺品及其他制造业2 11846078投废品废料2 2000入电力、热力的生产和供应业2 311220105869燃气生产和供应业2 44048500水的生产和供应业2 5161200建筑业2 6253019交通运输及仓储业2 77980807275邮政业2 830802 投入代码 产出代码上海2007年投入产出表(按当年生产者价格计算)单位:万元农林牧渔业煤炭开采和洗选业石油和天然气开采业信息传输、计算机服务和软件业29565608692批发和零售业3016727201422住宿和餐饮业31880177金融业321745506446房地产业331979080租赁和商务服务业3472830221研究与试验发展业3513570277综合技术服务业36177040925水利、环境和公共设施管理业3715201居民服务和其他服务业38891502教育393640507卫生、社会保障和社会福利业40400018文化、体育和娱乐业417388013公共管理和社会组织425000中间投入合计TII1453572044715劳动者报酬V A 001818795012181增生产税净额V A 00270489027757加固定资产折旧V A 00350633043265值营业盈余V A 004166312086462增加值合计TVA11062290169665TI25598010214380总投入005060708090087222991083346851162520017578187232836199000000000000003042348871800025360990000040916494921609478200980052825158530771838280003375579576398192001397002865853286343770036667249012644713829003098394756035067742054750034968155052409712626001484815294029306722001828375065556012976600217912967441729406310030022100349616510060015362842213705001514284211211702001415849477534683700948340371481359300343504541427380010273412686312772765043003902120742103762436500256741686115...

1、当您付费下载文档后,您只拥有了使用权限,并不意味着购买了版权,文档只能用于自身使用,不得用于其他商业用途(如 [转卖]进行直接盈利或[编辑后售卖]进行间接盈利)。
2、本站所有内容均由合作方或网友上传,本站不对文档的完整性、权威性及其观点立场正确性做任何保证或承诺!文档内容仅供研究参考,付费前请自行鉴别。
3、如文档内容存在违规,或者侵犯商业秘密、侵犯著作权等,请点击“违规举报”。

碎片内容

07年上海42部门投入产出流量表

小辰2+ 关注
实名认证
内容提供者

出售各种资料和文档

确认删除?
VIP
微信客服
  • 扫码咨询
会员Q群
  • 会员专属群点击这里加入QQ群
客服邮箱
回到顶部