电脑桌面
添加小米粒文库到电脑桌面
安装后可以在桌面快捷访问

几类常见递推数列的解法VIP免费

几类常见递推数列的解法_第1页
1/7
几类常见递推数列的解法_第2页
2/7
几类常见递推数列的解法_第3页
3/7
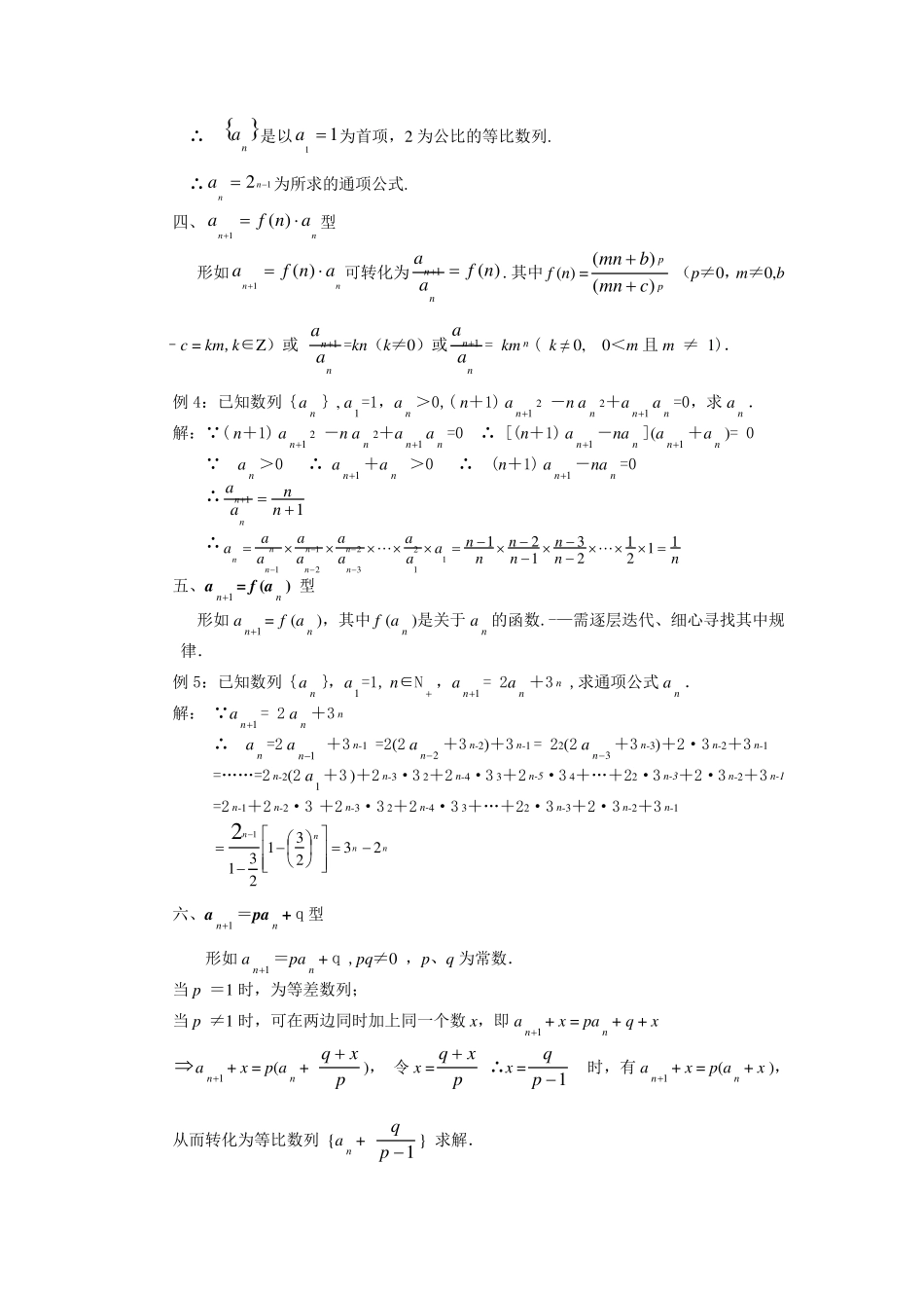
几 类 递 推 数 列 通 项 公 式 的 常 见 类 型 及 解 法 江西省乐安县第二中学 李芳林 邮编 344300 已 知 数 列 的 递 推 关 系 式 求 数 列 的 通 项 公 式 的 方 法 大 约 分 为 两 类 : 一 类 是 根 据 前 几 项 的特 点 归 纳 猜 想 出 an 的 表 达 式 , 然 后 用 数 学 归 纳 法 证 明 ; 另 一 类 是 将 已 知 递 推 关 系 , 用 代 数法 、 迭 代 法 、 换 元 法 , 或 是 转 化 为 基 本 数 列 ( 等 差 或 等 比 ) 的 方 法 求 通 项 . 第 一 类 方 法 要 求学 生 有 一 定 的 观 察 能 力 以 及 足 够 的 结 构 经 验 , 才 能 顺 利 完 成 , 对 学 生 要 求 高 . 第 二 类 方 法 有一 定 的 规 律 性 , 只 需 遵 循 其 特 有 规 律 方 可 顺 利 求 解 . 在 教 学 中 , 我 针 对 一 些 数 列 特 有 的 规 律总 结 了 一 些 求 递 推 数 列 的 通 项 公 式 的 解 题 方 法 . 一 、 aadnn 1型 形 如daann1( d 为 常 数 ) 的 递 推 数 列 求 通 项 公 式 , 将 此 类 数 列 变 形 得aadnn 1, 再 由 等 差 数 列 的 通 项 公 式aandn 11可 求 得 an. 例 1: 已 知 数 列  an中aaanNnn1123,, 求na 的 通 项 公 式 . 解 : aann 13 ∴ aann 13 ∴  an是 以 a12为 首 项 , 3 为 公 差 的 等 差 数 列 . ∴annn 21 331为 所 求 的 通 项 公 式 . 二 、)(1nfaann型 形 如 a1n= an + f (n ), 其 中 f (n ) 为 关 于 n 的 多 项 式 或 指 数 形 式 ( a n ) 或 可 裂 项 成差 的 分 式 形 式 . ——可 移项 后 叠加相消. 例 2: 已 知 数 列 {an },a1= 0,n ∈N , a1n= an +( 2n -1), 求 通 项 公 式 an . 解 : a1n=an +( 2n -1) ∴ a1n=an +( 2n -1) ∴ a2 -a1 =1 、 a3 -a2 =3 、 …… an -a1n=2n -3 ∴ an = a1+(a2 -a1)+(...

1、当您付费下载文档后,您只拥有了使用权限,并不意味着购买了版权,文档只能用于自身使用,不得用于其他商业用途(如 [转卖]进行直接盈利或[编辑后售卖]进行间接盈利)。
2、本站所有内容均由合作方或网友上传,本站不对文档的完整性、权威性及其观点立场正确性做任何保证或承诺!文档内容仅供研究参考,付费前请自行鉴别。
3、如文档内容存在违规,或者侵犯商业秘密、侵犯著作权等,请点击“违规举报”。

碎片内容

几类常见递推数列的解法

小辰4+ 关注
实名认证
内容提供者

出售各种资料和文档

确认删除?
VIP
微信客服
  • 扫码咨询
会员Q群
  • 会员专属群点击这里加入QQ群
客服邮箱
回到顶部