电脑桌面
添加小米粒文库到电脑桌面
安装后可以在桌面快捷访问

届高考数学试题预测数列VIP专享VIP免费

届高考数学试题预测数列_第1页
1/7
届高考数学试题预测数列_第2页
2/7
届高考数学试题预测数列_第3页
3/7
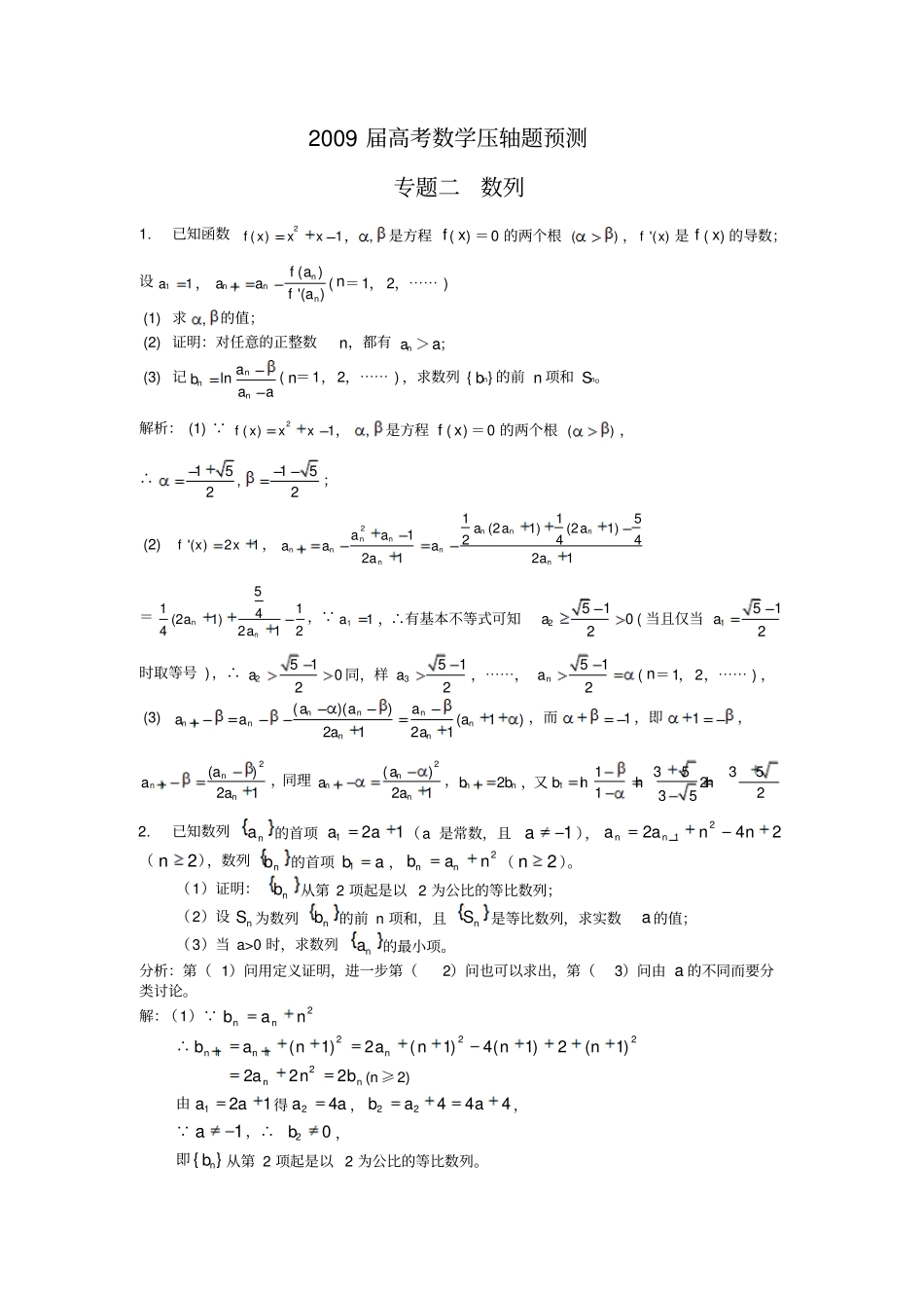
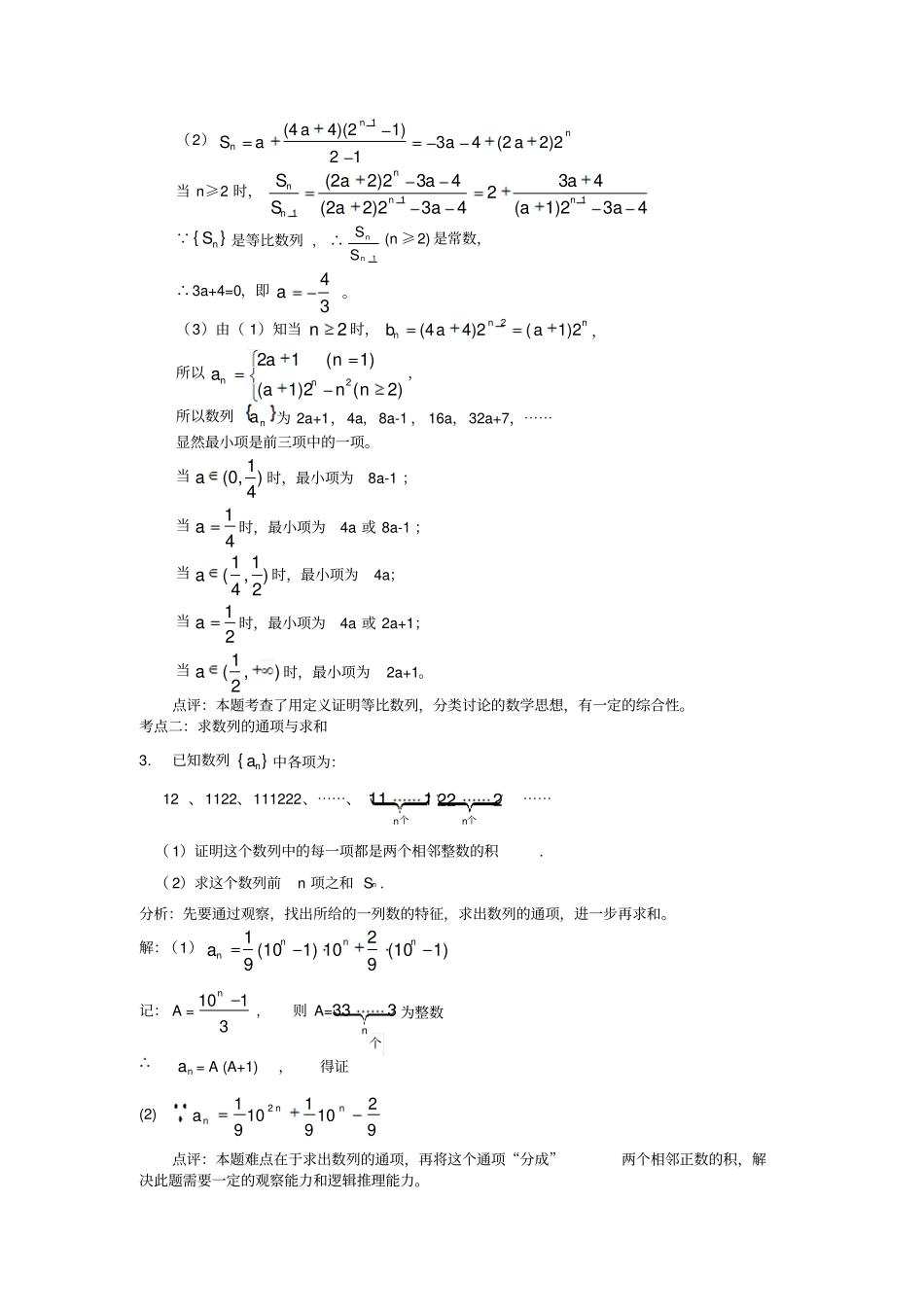
2009 届高考数学压轴题预测专题二数列1.已知函数2( )1f xxx, ,是方程 f ( x) =0 的两个根 () ,'( )fx 是 f ( x) 的导数;设11a,1()'()nnnnf aaafa( n=1, 2,⋯⋯ ) (1) 求,的值; (2) 证明:对任意的正整数n,都有na >a; (3) 记lnnnnabaa( n=1,2,⋯⋯ ) ,求数列 { bn} 的前 n 项和 Sn。解析: (1) 2( )1f xxx,,是方程 f ( x) =0 的两个根 () ,∴1515,22; (2)'( )21fxx,21115(21)(21)12442121nnnnnnnnnnaaaaaaaaaa=5114(21)4212nnaa, 11a,∴有基本不等式可知25102a( 当且仅当1512a时取等号 ),∴25102a同,样3512a,⋯⋯,512na( n=1,2,⋯⋯ ) , (3)1()()(1)2121nnnnnnnnaaaaaaaa,而1 ,即1,21()21nnnaaa,同理21()21nnnaaa,12nnbb ,又113535lnln2ln1235b2.已知数列na的首项121aa(a 是常数,且1a),24221nnaann(2n),数列nb的首项1ba ,2nabnn(2n)。(1)证明:nb从第 2 项起是以 2 为公比的等比数列;(2)设nS 为数列nb的前 n 项和,且nS是等比数列,求实数a 的值;(3)当 a>0 时,求数列na的最小项。分析:第( 1)问用定义证明,进一步第(2)问也可以求出,第(3)问由 a 的不同而要分类讨论。解:(1) 2nabnn∴22211)1(2)1(4)1(2)1(nnnanabnnnnnbna2222(n ≥2) 由121aa得24aa ,22444baa, 1a,∴20b,即 {}nb从第 2 项起是以 2 为公比的等比数列。(2)1(44)(21)34(22)221nnnaSaaa当 n≥2 时,111(22)234342(22)234(1)234nnnnnSaaaSaaaa }{nS是等比数列 , ∴1nnSS(n ≥2) 是常数,∴3a+4=0,即43a。(3)由( 1)知当2n时,2(44)2(1)2nnnbaa,所以221(1)(1)2(2)nnanaann,所以数列na为 2a+1,4a,8a-1 , 16a,32a+7,⋯⋯显然最小项是前三项中的一项。当1(0,)4a时,最小项为8a-1 ;当14a时,最小项为4a 或 8a-1 ;当1 1(,)4 2a时,最小项为4a;当12a时,最小项为4a 或 2a+1;当1(,)2a时,最小项为2a+1。点评:本题考查了用定义证明等比数列,分类讨论的数学思想,有一定的综合性。考点二:求数列的通项与求和3.已知数列 {}na中各项为: 12 、1122、111222、⋯⋯、 111n个222n个⋯⋯( 1)证明这个数列中的每一项都是两个相邻整数的积. ( 2)求这个数列前n 项之和 Sn . 分析:先要通过观察,找出所给的一列数的特征,求出数列的通项,进一步再求和。解:(1)12(101) 10(101)9...

1、当您付费下载文档后,您只拥有了使用权限,并不意味着购买了版权,文档只能用于自身使用,不得用于其他商业用途(如 [转卖]进行直接盈利或[编辑后售卖]进行间接盈利)。
2、本站所有内容均由合作方或网友上传,本站不对文档的完整性、权威性及其观点立场正确性做任何保证或承诺!文档内容仅供研究参考,付费前请自行鉴别。
3、如文档内容存在违规,或者侵犯商业秘密、侵犯著作权等,请点击“违规举报”。

碎片内容

届高考数学试题预测数列

确认删除?
VIP
微信客服
  • 扫码咨询
会员Q群
  • 会员专属群点击这里加入QQ群
客服邮箱
回到顶部