电脑桌面
添加小米粒文库到电脑桌面
安装后可以在桌面快捷访问

1931CIE标准色度三刺激值VIP免费

1931CIE标准色度三刺激值_第1页
1/7
1931CIE标准色度三刺激值_第2页
2/7
1931CIE标准色度三刺激值_第3页
3/7
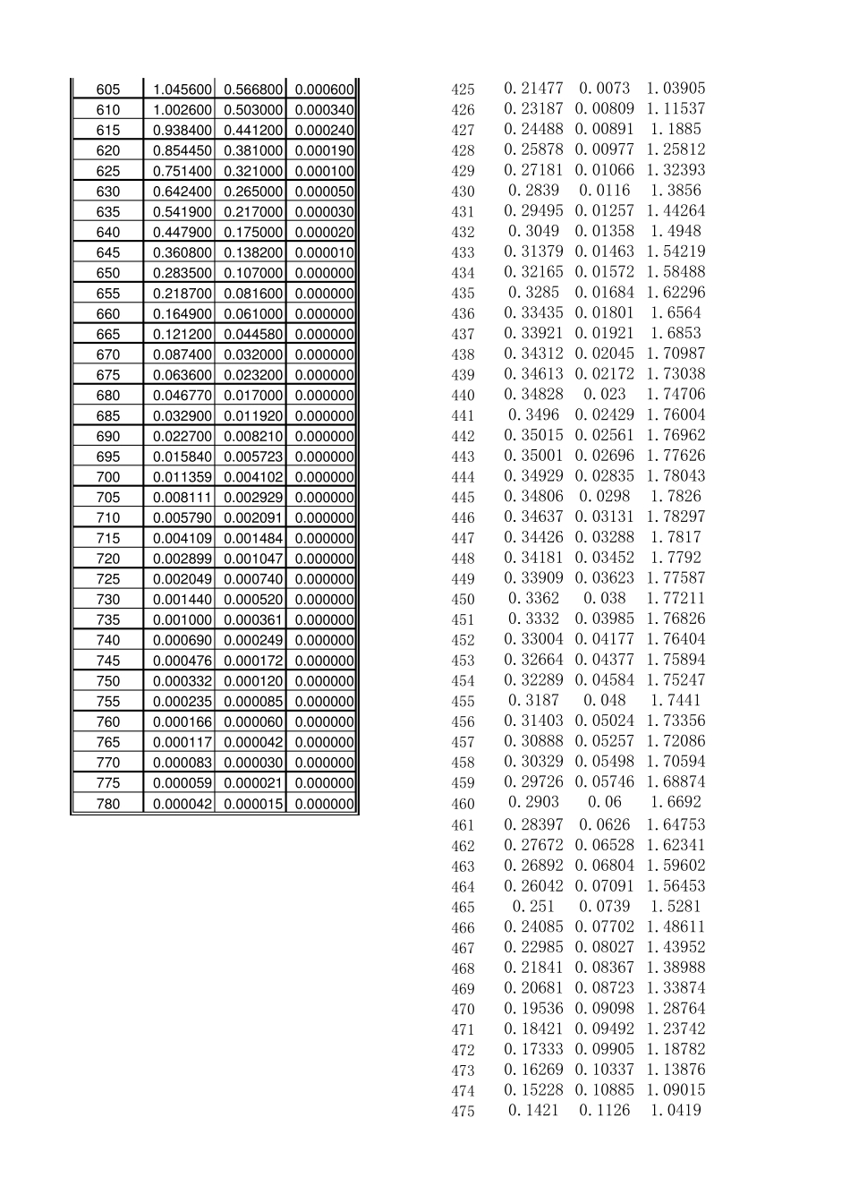
CIE 1931standardcolorimetricobserv erl , nm波长(nm)x(λ)y(λ)z(λ)3800.0013680.0000390.0064503800.00137 3.9E-05 0.006453850.0022360.0000640.0105503810.00154.3E-05 0.007083900.0042430.0001200.0200503820.00164 4.7E-05 0.007753950.0076500.0002170.0362103830.00185.2E-050.00854000.0143100.0003960.0678503840.0025.7E-05 0.009414050.0231900.0006400.1102003850.00224 6.4E-05 0.010554100.0435100.0012100.2074003860.00254 7.2E-05 0.011974150.0776300.0021800.3713003870.00289 8.2E-05 0.013664200.1343800.0040000.6456003880.00339.4E-05 0.015594250.2147700.0073001.0390503890.00375 0.00011 0.017734300.2839000.0116001.3856003900.00424 0.00012 0.020054350.3285000.0168401.6229603910.00476 0.00013 0.022514400.3482800.0230001.7470603920.00533 0.000150.02524450.3480600.0298001.7826003930.00598 0.00017 0.028284500.3362000.0380001.7721103940.00674 0.000190.03194550.3187000.0480001.7441003950.00765 0.00022 0.036214600.2908000.0600001.6692003960.00875 0.00025 0.041444650.2511000.0739001.5281003970.01003 0.000280.04754700.1953600.0909801.2876403980.01142 0.00032 0.054124750.1421000.1126001.0419003990.01287 0.000360.0614800.0956400.1390200.8129504000.014310.00040.067854850.0579500.1693000.6162004010.01570.00043 0.074494900.0320100.2080200.4651804020.01715 0.00047 0.081364950.0147000.2586000.3533004030.01878 0.00052 0.089155000.0049000.3230000.2720004040.02075 0.00057 0.098545050.0024000.4073000.2123004050.02319 0.000640.11025100.0093000.5030000.1582004060.02621 0.00072 0.124615150.0291000.6082000.1117004070.02978 0.000830.14175200.0632700.7100000.0782504080.03388 0.000940.16135250.1096000.7932000.0572504090.03847 0.00107 0.183265300.1655000.8620000.0421604100.04351 0.001210.20745350.2257500.9148500.0298404110.0490.00136 0.233695400.2904000.9540000.0203004120.05502 0.00153 0.262615450.3597000.9803000.0134004130.06172 0.00172 0.294775500.4334500.9949500.0087504140.06921 0.001940.33085550.5120501.0000000.0057504150.07763 0.002180.37135600.5...

1、当您付费下载文档后,您只拥有了使用权限,并不意味着购买了版权,文档只能用于自身使用,不得用于其他商业用途(如 [转卖]进行直接盈利或[编辑后售卖]进行间接盈利)。
2、本站所有内容均由合作方或网友上传,本站不对文档的完整性、权威性及其观点立场正确性做任何保证或承诺!文档内容仅供研究参考,付费前请自行鉴别。
3、如文档内容存在违规,或者侵犯商业秘密、侵犯著作权等,请点击“违规举报”。

碎片内容

1931CIE标准色度三刺激值

您可能关注的文档

确认删除?
VIP
微信客服
  • 扫码咨询
会员Q群
  • 会员专属群点击这里加入QQ群
客服邮箱
回到顶部