电脑桌面
添加小米粒文库到电脑桌面
安装后可以在桌面快捷访问

广东专用高考数学轮复习用书课轨迹方程的求法文VIP免费

广东专用高考数学轮复习用书课轨迹方程的求法文_第1页
1/4
广东专用高考数学轮复习用书课轨迹方程的求法文_第2页
2/4
广东专用高考数学轮复习用书课轨迹方程的求法文_第3页
3/4
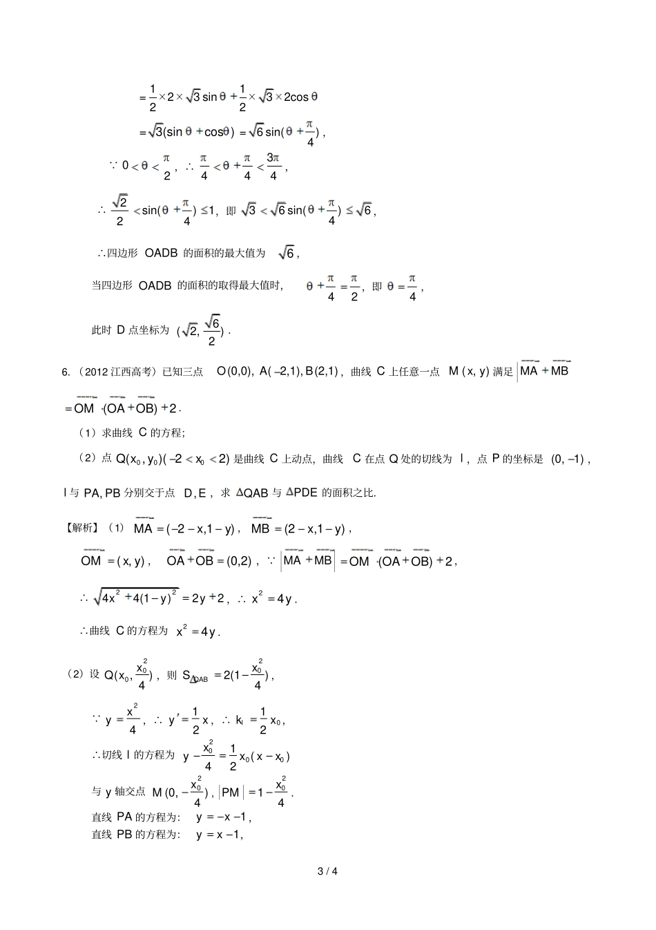
1 / 4 第 68 课轨迹方程的求法1.( 2010 广州二模)高 8m 和 4m 的两根旗杆笔直地竖在水平地面上, 且相距 10m , 则地面上观察两旗杆顶端仰角相等的点的轨迹为()A. 圆 B. 椭圆 C. 双曲线 D. 抛物线【答案】 A 【解析】设两根旗杆在水平地面上的点分别为( 5,0)A、(5,0)B,设( , )P x y 为轨迹上的点,仰角为,则84tan,tanPAPB, ∴2PAPB ,∴2222(5)2 (5)xyxy,∴223350750xyx,轨迹是圆.∴ 所求的轨迹是抛物线.2.已知点( ,)P x y 在以原点为圆心的单位圆上运动,则点(,)Q xy xy 的轨迹是()A.圆B.抛物线 C.椭圆D.双曲线【答案】 B 【解析】点( ,)P x y 在以原点为圆心的单位圆上运动,∴cosx,siny,点(,)Q xy xy 为 (cossin,cossin)∴cossincossinxy,∴212cossincossinxy,∴211 ,[2,2]22yxx.∴ 所求轨迹方程是抛物线.3.已知 x 轴上一定点(1,0)A, Q 为椭圆2214xy上一动点,求AQ 中点 M 的轨迹方程.【解析】设00(,),( , )Q xyM x y , M 是 AQ 的中点,∴00001212022xxxxyyyy, Q 为椭圆2214xy上的点,∴220014xy,∴2221214xy,即221()412xy,∴点 M 的轨迹方程为221()412xy.xyQMAO2 / 4 4.已知两圆1C :22(3)1xy,圆2C :22(3)9xy,动圆 M 同时与圆1C 和圆2C 相外切,求动圆的圆心 M 的轨迹方程.【解析】3,0) ,2(3,0)C, 11r,23r,,则 1||1MCr,2||3MCr,∴到两定点12,C C 的距离之差为常数,∴M 的轨迹是双曲线的左支,22a,122|| 6cC C,∴918b,∴ 动圆圆心 M 的轨迹方程是221(1)8yxx.5.(2012 珠海二模)已知圆C 方程:22(1)9xy,垂直于 x轴的直线 l 与圆 C 相切于 N 点( N 在圆心 C 的右侧),平面上有一动点P ,若 PQl ,垂足为 Q ,且12PCPQ.(1)求点 P 的轨迹方程;(2)已知 D 为点 P 的轨迹曲线上第一象限弧上一点,O 为原点, A 、 B 分别为点 P 的轨迹曲线与,x y 轴的正半轴的交点,求四边形OADB 的最大面积及D 点坐标.【解析】(1)设 P 点坐标为 ( ,)x y则4PQx ,22(1)PCxy, 12PCPQ,∴22(1)142xyx,化简得22143xy,∴点 P 的轨迹方程是22143xy.( 2) A 、 B 分别为点 P 的轨迹曲线与,x y 轴的正半轴的交点,∴(2,0)A、(0,3)B,设 D 点的坐标为 (2cos ,3sin) (0)2,∴=+OADOBDOADBSSS四边形lNQOyxCP3 / 4 11=23 sin32cos2...

1、当您付费下载文档后,您只拥有了使用权限,并不意味着购买了版权,文档只能用于自身使用,不得用于其他商业用途(如 [转卖]进行直接盈利或[编辑后售卖]进行间接盈利)。
2、本站所有内容均由合作方或网友上传,本站不对文档的完整性、权威性及其观点立场正确性做任何保证或承诺!文档内容仅供研究参考,付费前请自行鉴别。
3、如文档内容存在违规,或者侵犯商业秘密、侵犯著作权等,请点击“违规举报”。

碎片内容

广东专用高考数学轮复习用书课轨迹方程的求法文

您可能关注的文档

确认删除?
VIP
微信客服
  • 扫码咨询
会员Q群
  • 会员专属群点击这里加入QQ群
客服邮箱
回到顶部