电脑桌面
添加小米粒文库到电脑桌面
安装后可以在桌面快捷访问

山东省基层医疗卫生机构国家基本药物集中采购第一、二批中标产品[Excel版][非图片]VIP免费

山东省基层医疗卫生机构国家基本药物集中采购第一、二批中标产品[Excel版][非图片]_第1页
1/13
山东省基层医疗卫生机构国家基本药物集中采购第一、二批中标产品[Excel版][非图片]_第2页
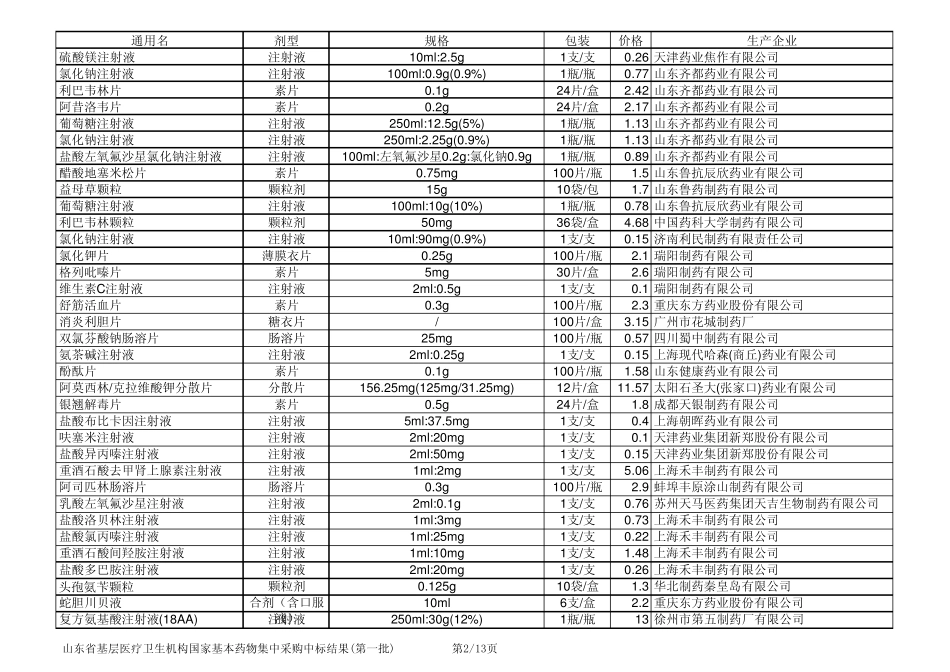
2/13
山东省基层医疗卫生机构国家基本药物集中采购第一、二批中标产品[Excel版][非图片]_第3页
3/13
通用名剂型规格包装价格生产企业对乙酰氨基酚片素片0.3g100片/瓶1.52 山东省泰安制药厂吲达帕胺缓释片缓释片1.5m g24片/盒17.57 宁夏康亚药业有限公司奋乃静片糖衣片2m g100片/瓶1.4 东北制药集团沈阳第一制药有限公司防风通圣丸水丸6g(1g/20丸)20袋/盒 4 山东百草药业有限公司板蓝根颗粒颗粒剂10g20袋/盒3.2 山东百草药业有限公司如意金黄散散剂9g10袋/盒 6 山东百草药业有限公司黄连上清丸水丸6g20袋/盒 4 山东百草药业有限公司注射用硫酸链霉素粉针剂1g1支/支0.47 华北制药股份有限公司阿莫西林/克拉维酸钾片薄膜衣片375m g(250m g/125m g)6片/盒7.6 华北制药股份有限公司阿莫西林胶囊胶囊剂0.5g10粒/盒2.4 华北制药股份有限公司注射用氨苄西林钠粉针剂0.5g1支/支0.44 华北制药股份有限公司地塞米松磷酸钠注射液注射液1m l:5m g1支/支0.13 山东鲁抗辰欣药业有限公司叶酸片素片0.4m g31片/瓶3.5 常州制药厂有限公司利巴韦林注射液注射液1m l:0.1g1支/支0.09 山东鲁抗辰欣药业有限公司硫酸庆大霉素注射液注射液2m l:80m g1支/支0.22 山东鲁抗辰欣药业有限公司利巴韦林注射液注射液2m l:0.1g1支/支0.09 山东鲁抗辰欣药业有限公司碳酸氢钠片素片0.5g1000片/瓶5 山东华信制药集团股份有限公司硝酸甘油注射液注射液1m l:5m g1支/支0.98 山东华信制药集团股份有限公司甲硝唑片素片0.2g100片/盒1.63 山东齐都药业有限公司氯化钠注射液注射液100m l:0.9g(0.9%)1瓶/瓶1.03 山东齐都药业有限公司葡萄糖氯化钠注射液注射液250m l:葡萄糖12.5g:氯化钠2.25g1瓶/瓶1.13 山东齐都药业有限公司葡萄糖氯化钠注射液注射液500m l:葡萄糖25g:氯化钠4.5g1瓶/瓶1.45 山东齐都药业有限公司复方氯化钠注射液注射液500m l1瓶/瓶1.53 山东齐都药业有限公司双氯芬酸钠缓释薄膜衣片缓释片0.1g12片/盒8.28 深圳致君制药有限公司甲硝唑葡萄糖注射液注射液250m l:甲硝唑0.5g:葡萄糖12.5g1瓶/瓶0.95 山东齐都药业有限公司复方氨基酸注射液(18AA)注射液250m l:12.5g(5%)1瓶/瓶3.06 山东齐都药业有限公司甘露醇注射液注射液250m l:50g(20%)1瓶/瓶1.71 山东齐都药业有限公司丹参注射液注射液2m l1支/支0.2 山东华信制药集团股份有限公司盐酸利多卡因注射液注射液2m l:4m g1支/支0.07 山东华信制药集团股份有限公司盐酸氨溴索口服溶液口服溶液剂10m l:30m g10支/支8.3 石药集团中诺药业(石家庄)有限公司盐酸赛庚啶片素片2...

1、当您付费下载文档后,您只拥有了使用权限,并不意味着购买了版权,文档只能用于自身使用,不得用于其他商业用途(如 [转卖]进行直接盈利或[编辑后售卖]进行间接盈利)。
2、本站所有内容均由合作方或网友上传,本站不对文档的完整性、权威性及其观点立场正确性做任何保证或承诺!文档内容仅供研究参考,付费前请自行鉴别。
3、如文档内容存在违规,或者侵犯商业秘密、侵犯著作权等,请点击“违规举报”。

碎片内容

山东省基层医疗卫生机构国家基本药物集中采购第一、二批中标产品[Excel版][非图片]

小辰8+ 关注
实名认证
内容提供者

出售各种资料和文档

相关文档

确认删除?
VIP
微信客服
  • 扫码咨询
会员Q群
  • 会员专属群点击这里加入QQ群
客服邮箱
回到顶部