精品文档---下载后可任意编辑集成测温电路设计的开题报告一、选题背景测温技术一直是工业生产和科研领域中不可或缺的技术手段,它在温度控...
精品文档---下载后可任意编辑钢水连续测温系统的动态补偿的开题报告1.讨论背景和意义钢水是钢铁生产过程中的重要原料,其温度对钢铁产品质...
精品文档---下载后可任意编辑一、工作分工(一)长沙市三智电子科技有限公司 1、负责箱梁自动化温控及蒸养系统方案设计。 2、负责电气控...
精品文档---下载后可任意编辑C01-4-16-2-001工程名称呼和浩特市惠新苑公租房小区 5 号楼浇筑部位基础筏板配合比:(水泥:砂子:石子:水...
精品文档---下载后可任意编辑光纤测温中温度解调与去噪方法的讨论的开题报告一、选题背景及意义光纤传感技术(Fiber optic sensing tech...
(S 型热电偶)铂铑 10-铂热电偶铂铑 10-铂热电偶(S 型热电偶)为贵金属热电偶。偶丝直径规定为0.5mm,允许偏差-0.015mm,其正极(SP...
精品文档---下载后可任意编辑WSN 与 AGENT 在变电站无线测温系统控制中的讨论的开题报告摘要:变电站无线测温系统已经成为电力系统中不...
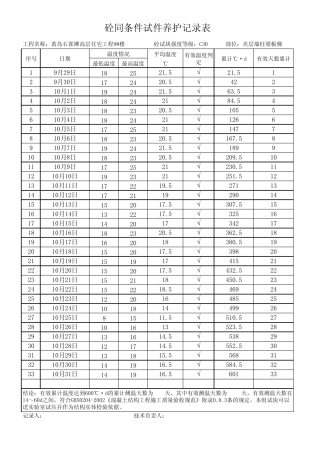
平均温度最低温度最高温度 ℃19月29日182521.5√21.5129月30日172420.5√422310月1日192421.5√63.53410月2日182421√84.54510月3日182320...
技术协议 第 1 页 共 9 页 变电站无线测温在线监测系统 技术规范书 批准: 审核: 拟制: 技术协议 第 2 页 共 9 页 总...
精品文档---下载后可任意编辑Mie 散射对多谱辐射测温的影响及修正的开题报告1.讨论背景多谱辐射测温技术是利用物体表面的辐射能量来测量物...
精品文档---下载后可任意编辑LED 生长的在线测温系统研制的开题报告一、课题背景光环境是影响植物生长和发育及品质形成的最重要的外部因素...
精品文档---下载后可任意编辑HIFU 治疗中超声测温技术的讨论的开题报告开题报告一、题目:HIFU 治疗中超声测温技术的讨论二、讨论背景和...
JIUJIANG UNIVERSITY 单片机课程设计报告 题 目 热敏电阻温度采集系统设计 院 系 电子工程学院 专 业 自动化 姓 名 xxxx xx...
课程题目:热敏电阻测温电路的设计 院 系:机电汽车工程学院 班 级:机1 0 1 -4 学生姓名: 学 号: 小组成员: 指导教师:***...
精品文档---下载后可任意编辑10kV 高压开关柜无线测温技术讨论的开题报告一、讨论背景随着工业自动化和无线通讯技术的不断进展,传统高压...
光纤测温系统技术原理 线型差定温火灾探测系统的原理是利用激光在光纤中传输能够产生背向散射,在光纤中注入一定能量和宽度的激光脉冲,它...
华中科技大学电气与电子工程学院 光纤传感技术 专题报告 课 题: 光 纤 传 感 器 在 电 力 电 缆 分 布 式 测 温 的 ...
大体积混凝土测温记录表C—31工程名称:文锦丽都 4#楼部位:筏板入模温度:24°C 养护方法:测温时间大气温度各测孔温度(C)内外温差时间...
宾果智能,源自清华HiBingo®人脸识别测温与智慧通行管理解 决 方 案北京爱宾果科技有限公司二〇二〇年三月宾果智能,源自清华目录一、...
测控系统原理与设计课程设计 课题: DS18B20 测温系统 班级 测控1081 班 学号 ********** 姓名 邹 蒙 专业 测控技术与仪器 ...

