1 试题库一命名题 1. 2. 3. CH3CH2C(CH2CH3)2CH2CH3 4. CH3CH2CH(CH3) CH2CH (CH3)2 5. 6. (CH3)4C 7.(CH3)3CCH2Br 8...
按指定原料合成下列化合物(无机试剂、苯及两个碳以下(含两个碳)的有机物任选) CH3CHCHCHOCH3CHCHCHOOHOHCH3CH CH2CH3CHCOOHCH2COOHCC...
1 《有机化学》试卷 一、名词解释(10%) 1、有机物:含有碳元素的化合物。 2、同分异构现象:分子式相同而结构和性质不同的现象。 3...
有机化学试卷及答案——中南大学
1 / 37 **大学科学技术学院2 0 0 7 /2 0 0 8 学年第 2 学期考核试卷 课号:EK1G03A 课程名称:有机化学A 试卷编号:A 班...
1 广西师范学院课程考试试卷 课程名称: 有机化学(上册) 试卷编号: B 考试时间:120 分钟 题 号 一 二 三 四 五 六 七...
有机化学试卷 一、写出下列化合物的名称或结构式(20′) 1) 3,3-二乙基戊烷 2) 1-乙基-2-异丙基-5-仲丁基苯 3) 苯基烯丙基醚 CH3...
氨基酸 alanine 英['æ lə,ni:n] 美['æ lə,nin] n.丙胺酸 glycine 英['ɡlaisi:n] 美['ɡlaɪ,sin, -sɪn] n.糖胶,氨基乙酸...
有机化学 英文名 汉文名 Angular methyl group 角甲基 Alkylidene group 亚烷基 Allyl group 烯丙基 Allylic 烯丙型[的] Ph...
有机化学考研练习题精华及参考答案
考研复习题 1.根据下列框图信息推测化合物结构:已知醛类化合物在一定条件下可被氧化成为羧酸,又能在一定条件下被还原成为伯醇类化合物...
有机化学--------考研笔记整理(分专题汇总) 第一篇 基础知识 一、关于立体化学 1.无对称面 1.分子手性的普通判据 2.无对称中心 3....
1 综合练习题(一) 一 选择题 (一)A 型题 1 下列体系中既有p-π共轭又有π-π共轭的是( ) 2 氨基(-NH2)既具有邻、对位定...
有机化学考点 顺反异构:适用于与双键相连的两个碳原子上有相同的原子或基团的几何异构体。 一般将相同基团在双键或环同侧的称为顺式,在...
TABLE OF CONTENTSSEARCH TEXTxviiV. LIST OF ABBREVIATIONS Abbreviation Chemical Name Chemical Structure 18-Cr-6 18-cro...
有机缩写词-A AAC acyl halide-aldehyde cyclocondensation (S)-AB (S)-2-amino-1-butanol ABCN 1,1'-azobis(cyclohexanecarbonitr...
1 综合练习题(三) 一、 命名或写出结构式。 6.水杨酸 7.β -甲基呋喃脱氧核糖苷 8.反-1 -甲基-4 -氯环己烷(优势构象) 9 ...
综合测试题(三) 一、命名下列各化合物(标出 D/L,R/S 构型)或写出结构式 1. CH3CH2CHCHCH3CH3CH2CH3 2. CH3HHOH 3. CH3COCH2C...
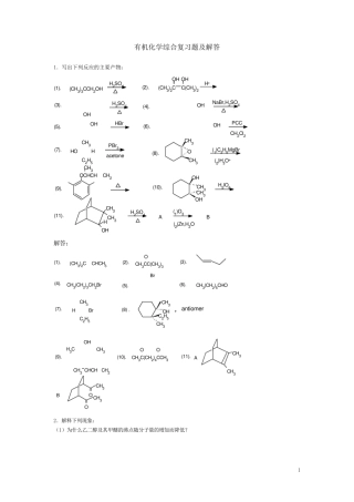
1 有机化学综合复习题及解答 1.写出下列反应的主要产物: (1).(CH3)3CCH2OHH2SO4(2).(CH3)2CC(CH3)2OH OHH+(3).OHH2SO4(4).OHNaBr,H2S...
绪论 章节习题 1.指出下列化合物中带“*”号碳原子的杂化类型: (1) (2) (3) (4) (5) (6) 2.写出下列化合物的结构式:...

