电脑桌面
添加小米粒文库到电脑桌面
安装后可以在桌面快捷访问

广西钦州钦州港经济技术开发区2017-2018学年高一数学上学期第一次月考试题VIP免费

广西钦州钦州港经济技术开发区2017-2018学年高一数学上学期第一次月考试题_第1页
1/6
广西钦州钦州港经济技术开发区2017-2018学年高一数学上学期第一次月考试题_第2页
2/6
广西钦州钦州港经济技术开发区2017-2018学年高一数学上学期第一次月考试题_第3页
3/6
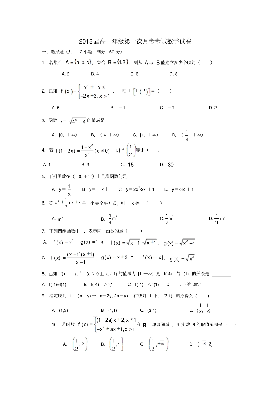
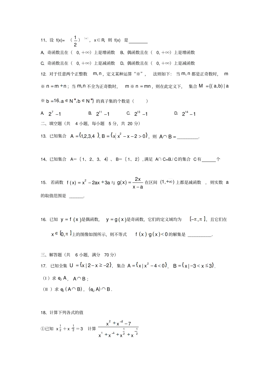
2018 届高一年级第一次月考考试数学试卷一、选择题(共12 小题,满分60 分)1. 若集合, ,Aa b c , 集合1,2B, 则从 AB 能建立多少个映射()A. 2 B. 4 C. 6 D. 8 2.已知21,123,1xxfxxx,则2ff()A. 5 B. -1 C. -7 D. 2 3、函数 y=44x的值域是A、[0, +∞)B、( 4, +∞)C、[1, +∞)D、(41 , +∞)4. 若2201(12 )()xfxxx, 则12f等于() A. 1 B. 3 C. 15D. 305、下列函数在(0, +∞)上是增函数的是A、y=x1B、y=︱ x︱C、y= 2x2-2x +1 D、 y=-3x +1 6.若212xmxk 是一个完全平方式,则k 等于()A.2mB. 214mC.213mD.2116m7. 下列四组函数中, 表示同一函数的是() A. 0( )f xx , ( )1g x B. ( )11f xxx, 2( )1g xxC. (1)(1)( )1xxf xx, ( )3g xx D. ( )||f xx , 2( )g xx8、已知 f(x) =a︱x+1︱(a >0 且 a≠1) 的值域为 [1 +∞)则 f(-4)与 f(1) 的关系是A、f(-4)=f(1) B、f(-4)>f(1) C、f(-4)<f(1) D、不能确定9. 给定映射 f : ( x,y) →( x+2y, 2x-y) ,在映射 f 下, (3,1)的原像为 ( ) A.(1,3) B.(1,1) C.(3,1) D.(12,12) 10. 若函数2(1 2 )2,1( )1,1a xxf xxaxx在 R 上单调递减 , 则实数 a 的取值范围是 () A. 1 , 22B. 1 ,12C. 1 ,2D. (,2]11、设 f(x)= (21 )︱x︱,x∈R,则 f(x)是A、奇函数且在(0, +∞)上是增函数B、偶函数且在(0, +∞)上是增函数C、奇函数且在(0, +∞)上是减函数D、偶函数且在(0, +∞)上是减函数12.对于任意两个正整数nm,,定义某种运算“※”,法则如下: 当nm,都是正奇数时, m※nmn;当nm,不全为正奇数时,m ※mnn,则在此定义下, 集合abaM|),{(※},,16NbNab的真子集的个数是()A.127B.1211C.1213D.1214二、填空题(共4 小题,每小题5 分,共 20 分)13.已知集合21,2,3,4,20ABx xx,则 AB_________. 14、已知集合A={ 1、2、3、 4}、 B={ 1、2}, 满足 A∩ C=B∪C的集合 C有个15. 若函数2( )23f xxaxa 与2( )xg xxa在区间 (1,) 上都是减函数, 则实数 a的取值范围是 ______. 16.已知 yfx 是偶函数, yg x 是奇函数,它们的定义域均为,,且它们在0,x上的图像如图所示,则不等式0fxg x的解集是 __________.三、解答题(共6 小题,满分70 分)17. 已知...

1、当您付费下载文档后,您只拥有了使用权限,并不意味着购买了版权,文档只能用于自身使用,不得用于其他商业用途(如 [转卖]进行直接盈利或[编辑后售卖]进行间接盈利)。
2、本站所有内容均由合作方或网友上传,本站不对文档的完整性、权威性及其观点立场正确性做任何保证或承诺!文档内容仅供研究参考,付费前请自行鉴别。
3、如文档内容存在违规,或者侵犯商业秘密、侵犯著作权等,请点击“违规举报”。

碎片内容

广西钦州钦州港经济技术开发区2017-2018学年高一数学上学期第一次月考试题

爱的疯狂+ 关注
实名认证
内容提供者

该用户很懒,什么也没介绍

确认删除?
VIP
微信客服
  • 扫码咨询
会员Q群
  • 会员专属群点击这里加入QQ群
客服邮箱
回到顶部