电脑桌面
添加小米粒文库到电脑桌面
安装后可以在桌面快捷访问

应用多元统计分析习题解答主成分分析VIP免费

应用多元统计分析习题解答主成分分析_第1页
1/9
应用多元统计分析习题解答主成分分析_第2页
2/9
应用多元统计分析习题解答主成分分析_第3页
3/9
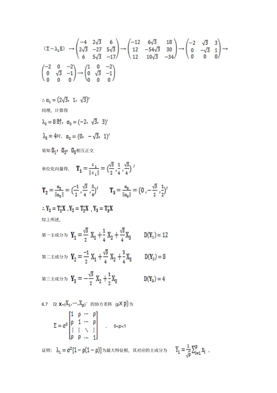
主成分分析6.1 试述主成分分析的基本思想。答:我们处理的问题多是多指标变量问题,由于多个变量之间往往存在着一定程度的相关性,人们希望能通过线性组合的方式从这些指标中尽可能快的提取信息。当第一个组合不能提取止。这就是主成分分析的基本思想。6.2 主成分分析的作用体现在何处?答:一般说来, 在主成分分析适用的场合,用较少的主成分就可以得到较多的信息量。以各个主成分为分量, 就得到一个更低维的随机向量;主成分分析的作用就是在降低数据“维数”6.3 简述主成分分析中累积贡献率的具体含义。答:主成分分析把p个原始变量12,,,pXXX 的总方差()tr Σ分解成了 p个相互独立的变量p个主成分的, 忽略一些带有较小方差的主成分将不会给总方差带来太大的影响。这里我们()mp 个主成分,则称11pmmkkkk为主成分1,,mYY 的累计贡献率,累计贡献率表明1,,mYY 综合12,,,pXXX的能力。通常取 m ,使得累计贡献率达到一个较高的百分数(如 85%以上)。答:这个说法是正确的。即原变量方差之和等于新的变量的方差之和6.5 试述根据协差阵进行主成分分析和根据相关阵进行主成分分析的区别。答:从相关阵求得的主成分与协差阵求得的主成分一般情况是不相同的。从协方差矩阵出发的, 其结果受变量单位的影响。主成分倾向于多归纳方差大的变量的信息,对于方差小的变量就可能体现得不够,也存在“大数吃小数”的问题。实际表明,这种差异有时很大。我6.6 已知 X=()’的协差阵为试进行主成分分析。解:=0 计算得当时,同理,计算得时,易知相互正交单位化向量得,,综上所述,第一主成分为第二主成分为第三主成分为6.7 设 X=()’的协方差阵 (p为, 0

1、当您付费下载文档后,您只拥有了使用权限,并不意味着购买了版权,文档只能用于自身使用,不得用于其他商业用途(如 [转卖]进行直接盈利或[编辑后售卖]进行间接盈利)。
2、本站所有内容均由合作方或网友上传,本站不对文档的完整性、权威性及其观点立场正确性做任何保证或承诺!文档内容仅供研究参考,付费前请自行鉴别。
3、如文档内容存在违规,或者侵犯商业秘密、侵犯著作权等,请点击“违规举报”。

碎片内容

应用多元统计分析习题解答主成分分析

文库当当响+ 关注
实名认证
内容提供者

该用户很懒,什么也没介绍

确认删除?
微信客服
  • 扫码咨询
会员Q群
  • 会员专属群点击这里加入QQ群