电脑桌面
添加小米粒文库到电脑桌面
安装后可以在桌面快捷访问

微积分基础练习题VIP免费

微积分基础练习题_第1页
1/4
微积分基础练习题_第2页
2/4
微积分基础练习题_第3页
3/4
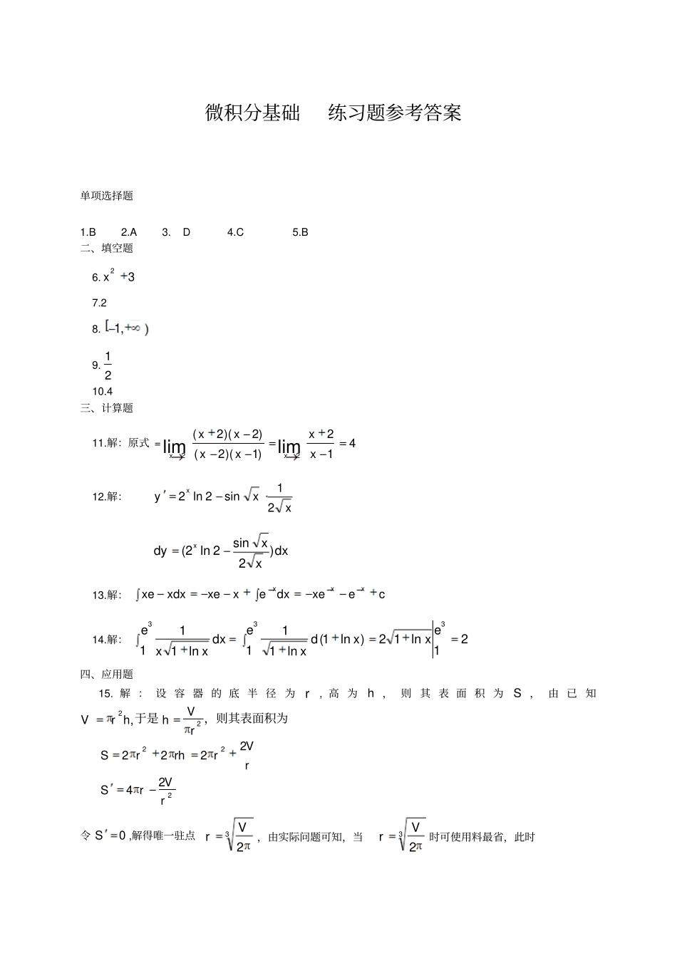
微积分基础练习题导数基本公式:积分基本公式:(c)′=0 dx0=c (xa)′=axa-1dxxa=axxaln1(ax)′= axlna(a>0 且 a≠1) dxax=aaxln+c(a>0 且 a≠1) (ex)′= exdxex=ex+c (log ax)′=axln1( a>0 且 a≠ 1) (lnx )′=x1cxdxxln1(sinx)′=cosx cxxdxcossin(cosx)′=- sinx cxxdxsincos(tanx)′=x2cos1cxdxxtancos12(cotx)′=x2sin1cxdxxncotsi12一、单项选择题1.设函数 y=xsinx, 则该函数是()。A.奇函数B.偶函数C.非奇非偶函数D.既奇又偶函数2.当 x→+∞时,下列变量为无穷小量的是()。A.xxsinB.ln(1+x) C.xsinx1D. xx13.若函数)(xf在点 x 0 处可导,则()是错误的。A.函数)(xf在点 x 0 处有定义B.函数)(xf在点 x 0 处连续C.函数)(xf在点 x 0 处可微C.lim)(xf=A,但 A≠)(x 0f4.若)0()(xxxxf,则dxxf)(()。A.cxx23223B. cxx2C.cxxD.2323221xx+c 5.下列微分方程串为可分离变量方程的是()A.)ln(yxdxdyB. xyedxdyC. yxeedxdyD. )ln(yxdxdy二、填空题6.若函数74)2(2xxxf,则)(xf=7.若函数)(xfkxxkxx处连续,则在00,0,228.函数2)1(2 xy的单调增加区间是9.dxex20= 10.微分方程xyxyysin45)4(3的阶数为三、计算题11.计算极限234222limxxxx。12.设.,cos2xdyxy求13.计算不定积分dxxex。14.计算定积分dxxxeln1113. 15.某制罐厂要生产一种体积为V 的有盖圆柱形容器,问容器的底半径与高各为多少时可使用料最省?微积分基础练习题参考答案单项选择题1.B 2.A 3. D 4.C 5.B 二、填空题6.32x7.2 8.,19.2110.4 三、计算题11.解:原式 =412)1)(2()2)(2(limlim22xxxxxxxx12.解:xxyx21sin2ln2dxxxdyx)2sin2ln2(13.解:cexedxexxexdxxexxx14.解:21ln12)ln1(ln111ln111333exxdxedxxxe四、应用题15. 解 : 设 容 器 的 底 半 径 为 r, 高 为h , 则 其 表 面 积 为S , 由 已 知,则其表面积为于是22 ,rVhhrVrVrrhrS222222224rVrS令0S,解得唯一驻点32Vr,由实际问题可知,当32Vr时可使用料最省,此时3 4Vh,即当容器的底半径与高分别为32V与 3 4V 时,用料最省。

1、当您付费下载文档后,您只拥有了使用权限,并不意味着购买了版权,文档只能用于自身使用,不得用于其他商业用途(如 [转卖]进行直接盈利或[编辑后售卖]进行间接盈利)。
2、本站所有内容均由合作方或网友上传,本站不对文档的完整性、权威性及其观点立场正确性做任何保证或承诺!文档内容仅供研究参考,付费前请自行鉴别。
3、如文档内容存在违规,或者侵犯商业秘密、侵犯著作权等,请点击“违规举报”。

碎片内容

微积分基础练习题

确认删除?
VIP
微信客服
  • 扫码咨询
会员Q群
  • 会员专属群点击这里加入QQ群
客服邮箱
回到顶部