电脑桌面
添加小米粒文库到电脑桌面
安装后可以在桌面快捷访问

2011年全国高中数学联赛模拟卷(一试+二试,附详细解答)VIP免费

2011年全国高中数学联赛模拟卷(一试+二试,附详细解答)_第1页
1/6
2011年全国高中数学联赛模拟卷(一试+二试,附详细解答)_第2页
2/6
2011年全国高中数学联赛模拟卷(一试+二试,附详细解答)_第3页
3/6
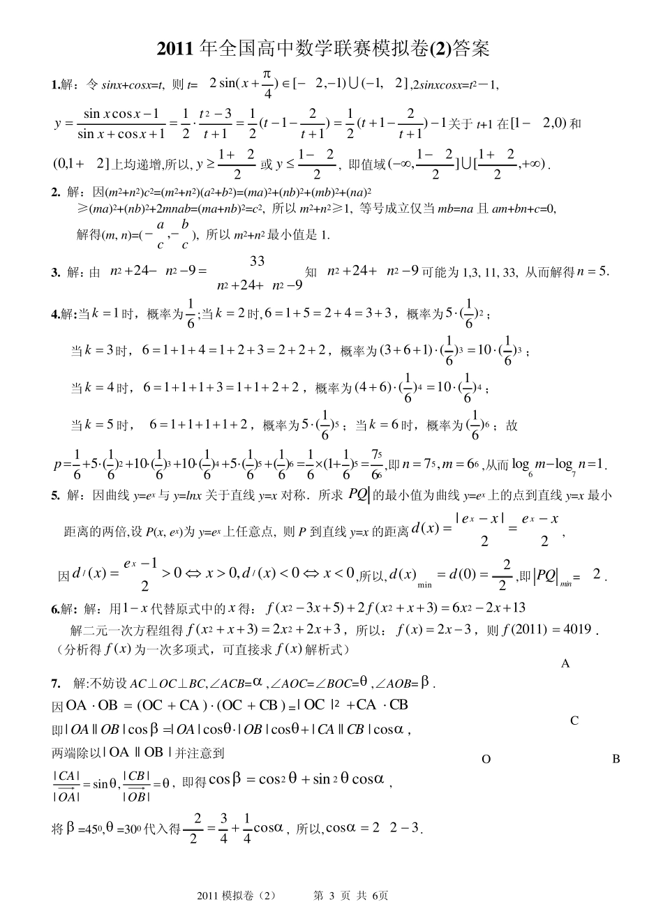
2011 模拟卷(2) 第 1 页 共 6页 2 0 1 1 年全国高中数学联赛模拟卷(2 )第一试 (考试时间:8 0 分钟 满分:1 2 0 分) 姓名:_ _ _ _ _ _ _ _ _ _ _ _ _ 考试号:_ _ _ _ _ _ _ _ _ _ _ _ _ _ 得分:_ _ _ _ _ _ _ _ _ _ _ _ 一、填空题(本大题共8 小题,每小题8 分,共6 4 分) 1 . 函数1cossin1cossinxxxxy的值域是___________ 2 . 设a, b, c 为RT△ACB 的三边长, 点(m, n)在直线ax+by+c=0 上. 则m2+n2 的最小值是___________ 3 . 若Nn ,且92422nn为正整数,则.________n 4 . 掷6 次骰子, 令第i 次得到的数为ia , 若存在正整数k 使得 61kiia的概率mnp ,其中nm,是互质的正整数. 则nm76loglog= . 5 . 已知点P 在曲线y=ex上,点Q 在曲线y=lnx 上,则PQ 的最小值是_______ 6 . 已知多项式f (x)满足:222(3) 2 (35) 61017()f xxf xxxxx R , 则(2011)f _________ 7 . 四面体OABC 中, 已知∠AOB=450,∠AOC=∠BOC=300, 则二面角A-OC-B 的平面角 的余弦值是 __________ 8 . 设向量)cossin,cossin2(),,3(aaxx满足对任意Rx和θ∈[0, π2], 2|| 恒成立. 则实数a 的取值范围是________________. 二、解答题(本大题共3 小题,第9 题1 6 分,第1 0 、1 1 题2 0 分,共5 6 分) 9 .设数列{ }na满足0aN ,211nnnaaa .求证:当1200 an时,naan0][. (其中[ ]x 表示不超过 x的最大整数). 1 0 . 过点)3,2(作动直线l 交椭圆1422 yx于两个不同的点QP,,过QP,作椭圆的切线, 两条切线的交点为M , ⑴ 求点M 的轨迹方程; ⑵ 设O 为坐标原点,当四边形 POQM 的面积为4 时,求直线l 的方程. 1 1 . 若a、b 、cR,且满足22)4()(cbabacbakabc,求 k 的最大值。 2011 模拟卷(2) 第 2 页 共 6页 2011 年全国高中数学联赛模拟卷(2)加试 (考试时间:150 分钟 满分:180 分) 姓名:_____________考试号:______________得分:____________ 一、(本题满分40 分)如图, 四边形BDFE 内接于圆O, 延长BE 与DF 交于A, BF 与DE 相交于G,作AC∥EF 交BD 延长线于C. 若M 是AG 的中点. 求证:CM⊥AO. 二、(本题满分40 分)求...

1、当您付费下载文档后,您只拥有了使用权限,并不意味着购买了版权,文档只能用于自身使用,不得用于其他商业用途(如 [转卖]进行直接盈利或[编辑后售卖]进行间接盈利)。
2、本站所有内容均由合作方或网友上传,本站不对文档的完整性、权威性及其观点立场正确性做任何保证或承诺!文档内容仅供研究参考,付费前请自行鉴别。
3、如文档内容存在违规,或者侵犯商业秘密、侵犯著作权等,请点击“违规举报”。

碎片内容

2011年全国高中数学联赛模拟卷(一试+二试,附详细解答)

您可能关注的文档

确认删除?
VIP
微信客服
  • 扫码咨询
会员Q群
  • 会员专属群点击这里加入QQ群
客服邮箱
回到顶部