电脑桌面
添加小米粒文库到电脑桌面
安装后可以在桌面快捷访问

Spice器件模型VIP免费

Spice器件模型_第1页
1/30
Spice器件模型_第2页
2/30
Spice器件模型_第3页
3/30
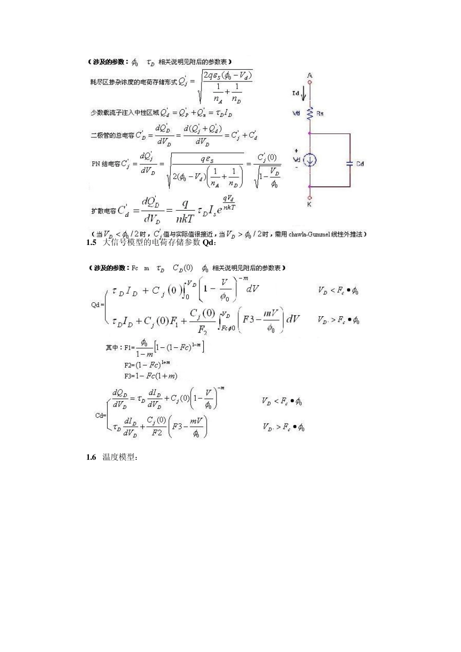
SPICE 的器件模型大全 在介绍SPICE 基础知识时介绍了最复杂和重要的电路描述语句,其中就包括元器件描述语句。许多元器件(如二极管、晶体管等)的描述语句中都有模型关键字,而电阻、电容、电源等的描述语句中也有模型名可选项,这些都要求后面配以.MODEL 起始的模型描述语句,对这些特殊器件的参数做详细描述。电阻、电容、电源等的模型描述语句语句比较简单,也比较容易理解,在SPICE 基础中已介绍,就不再重复了;二极管、双极型晶体管的模型虽也做了些介绍,但不够详细,是本文介绍的重点,以便可以自己制作器件模型;场效应管、数字器件的模型过于复杂,太专业,一般用户自己难以制作模型,只做简单介绍。 元器件的模型非常重要,是影响分析精度的重要因素之一。但模型中涉及太多图表,特别是很多数学公式,都是在W ORD 下编辑后再转为 JEPG 图像文件的,很繁琐和耗时,所以只能介绍重点。 一、二极管模型: 1.1 理想二极管的I-V 特性: 1.2 实际硅二极管的I-V 特性曲线:折线 1.3 D C 大信号模型: 1.4 电荷存储特性: 1.5 大信号模型的电荷存储参数 Qd: 1.6 温度模型: 1.7 二极管模型参数表: 二、双极型晶体管BJT 模型: 2.1 Ebers-Moll 静态模型:电流注入模式和传输模式两种 2 .1 .1 电流注入模式: 2.1.2 传输模式: 2.1.3 在不同的工作区域,极电流 Ic Ie 的工作范围不同,电流方程也各不相同: 2.1.4 Early 效应:基区宽度调制效应 2.1.5 带Rc、Re、Rb 的传输静态模型: 正向参数和反向参数是相对的,基极接法不变,而发射极和集电极互换所对应的两种状态,分别称为正向状态和反向状态,与此对应的参数就分别定义为正向参数和反向参数。 2.2 Ebers-Moll 大信号模型: 2.3 Gu mmel-Pool 静态模型: 2.4 Gummel-Pool 大信号模型:拓扑结构与 Ebers-Moll 大信号模型相同,非线性存储元件电压控制电容的方程也相同 2.5 BJT 晶体管模型总参数表: 三、 金属氧化物半导体晶体管 MOSFET 模型: 3.1 一级静态模型:Shichman-Hodges 模型 3.2 二级静态模型(大信号模型):Meyer 模型 3.2.1 电荷存储效应: 3.2.2 PN 结电容: 3.3 三级静态模型: 3.2 MOSFET 模型参数表: 一级模型理论上复杂,有效参数少,用于精度不高场合,迅速粗略估计电路 二级模型可使用复杂程度不同的模型,计算较多,常常不能收敛 三级模型精度与二级模型相同,计算时...

1、当您付费下载文档后,您只拥有了使用权限,并不意味着购买了版权,文档只能用于自身使用,不得用于其他商业用途(如 [转卖]进行直接盈利或[编辑后售卖]进行间接盈利)。
2、本站所有内容均由合作方或网友上传,本站不对文档的完整性、权威性及其观点立场正确性做任何保证或承诺!文档内容仅供研究参考,付费前请自行鉴别。
3、如文档内容存在违规,或者侵犯商业秘密、侵犯著作权等,请点击“违规举报”。

碎片内容

Spice器件模型

小辰3+ 关注
实名认证
内容提供者

出售各种资料和文档

确认删除?
VIP
微信客服
  • 扫码咨询
会员Q群
  • 会员专属群点击这里加入QQ群
客服邮箱
回到顶部