电脑桌面
添加小米粒文库到电脑桌面
安装后可以在桌面快捷访问

五年级计算题500道题VIP免费

五年级计算题500道题_第1页
1/13
五年级计算题500道题_第2页
2/13
五年级计算题500道题_第3页
3/13
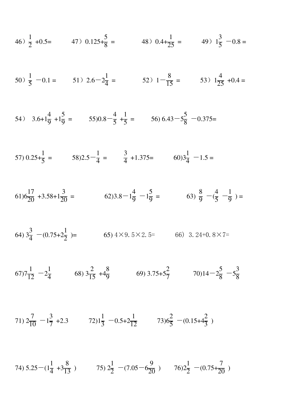
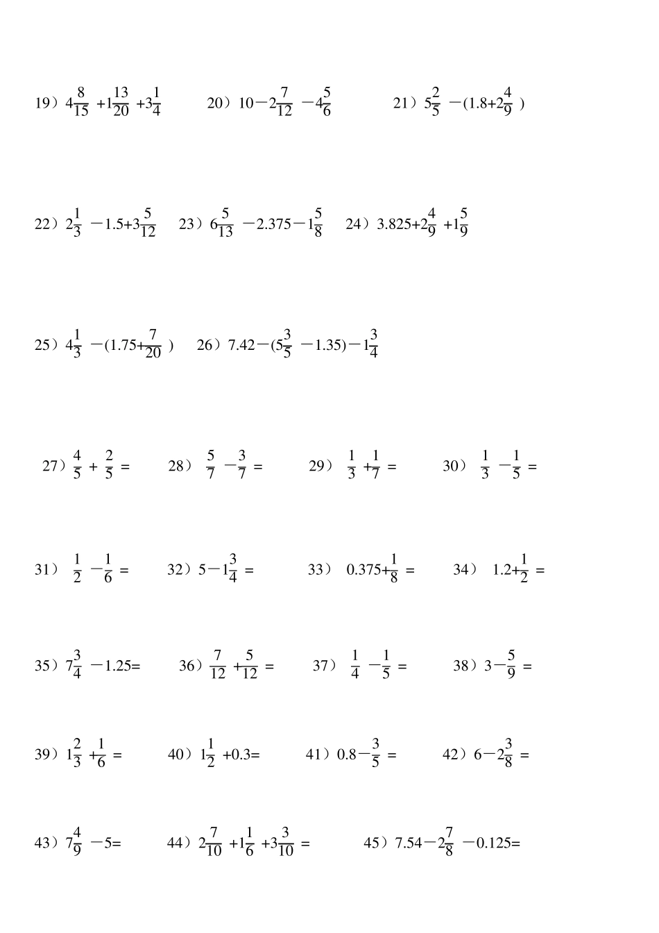
小学五年级下册计算题 4 0 0 道 学校: 班级: 姓名: 1 )1 41 5 -1 31 5 + 81 5 2 )4 1 51 7 +8 71 2 +3 21 7 3 )6 18 -1 56 -3 1 51 6 4 )6 .5 +1 16 -4 .8 5 )1 5 38 -5 34 +4 .8 6 )9 .2 8 -3 31 3 -2 21 3 -1 81 3 7 )1 0 31 4 -(2 31 4 +3 .9 ) 8 )1 0 16 -3 1 12 0 -2 .4 5 +1 .6 9 ) 31 0 - 41 5 + 51 8 1 0 ) 5 7 +3 58 -4 1 11 2 1 1 ) 2 4 1 13 0 -1 5 +6 16 1 2 ) 1 5 16 -7 15 -2 .8 1 3 ) 1 96 0 +(1 25 -1 41 5 ) 1 4 ) 4 35 -(7 .2 -3 14 ) 1 5 ) 1 7 14 -(5 58 +4 .5 ) 1 6 ) 5 23 +6 31 0 +3 13 +2 .7 1 7 )1 8 .7 9 -(4 .7 9 +3 35 )-0 .4 1 8 )3 .8 2 +(7 38 -2 .8 2 )-5 34 19)4 815 +11320 +314 20)10-2 712 -456 21)525 -(1.8+249 ) 22)213 -1.5+3 512 23)6 513 -2.375-158 24)3.825+249 +159 25)413 -(1.75+ 720 ) 26)7.42-(535 -1.35)-134 27)45 + 25 = 28) 57 -37 = 29) 13 +17 = 30) 13 -15 = 31) 12 -16 = 32)5-134 = 33) 0.375+18 = 34) 1.2+12 = 35)734 -1.25= 36) 712 + 512 = 37) 14 -15 = 38)3-59 = 39)123 +16 = 40)112 +0.3= 41)0.8-35 = 42)6-238 = 43)749 -5= 44)2 710 +116 +3 310 = 45)7.54-278 -0.125= 46)12 +0.5= 47)0.125+58 = 48)0.4+ 125 = 49)135 -0.8 = 50)15 -0.1 = 51)2.6-214 = 52)1-815 = 53)1 425 +0.4 = 54) 3.6+149 +159 = 55)0.8-45 +15 = 56) 6.43-558 -0.375= 57) 0.25+15 = 58)2.5-14 = 34 +1.375= 60)314 -1.5 = 61)61720 +3.58+1 320 = 62)3.8-149 -159 = 63) 89 -(45 -19 ) = 64) 334 -(0.75+212 )= 65) 4×9.5×2.5= 66) 3.24+0.8×7= 67)7 112 -214 68) 3 215 +489 69) 3.75+527 70)14-258 -538 71) 2 710 -137 +2.3 72)113 -0.5+2 112 73)625 -(0.15+423 ) 74) 5.25-(114 +3 813 ) 75) 212 -(7.05-6 920 ) 76)212 -(0.75+ 720 ) 77...

1、当您付费下载文档后,您只拥有了使用权限,并不意味着购买了版权,文档只能用于自身使用,不得用于其他商业用途(如 [转卖]进行直接盈利或[编辑后售卖]进行间接盈利)。
2、本站所有内容均由合作方或网友上传,本站不对文档的完整性、权威性及其观点立场正确性做任何保证或承诺!文档内容仅供研究参考,付费前请自行鉴别。
3、如文档内容存在违规,或者侵犯商业秘密、侵犯著作权等,请点击“违规举报”。

碎片内容

五年级计算题500道题

确认删除?
VIP
微信客服
  • 扫码咨询
会员Q群
  • 会员专属群点击这里加入QQ群
客服邮箱
回到顶部