电脑桌面
添加小米粒文库到电脑桌面
安装后可以在桌面快捷访问

常用工程材料属性VIP免费

常用工程材料属性_第1页
1/9
常用工程材料属性_第2页
2/9
常用工程材料属性_第3页
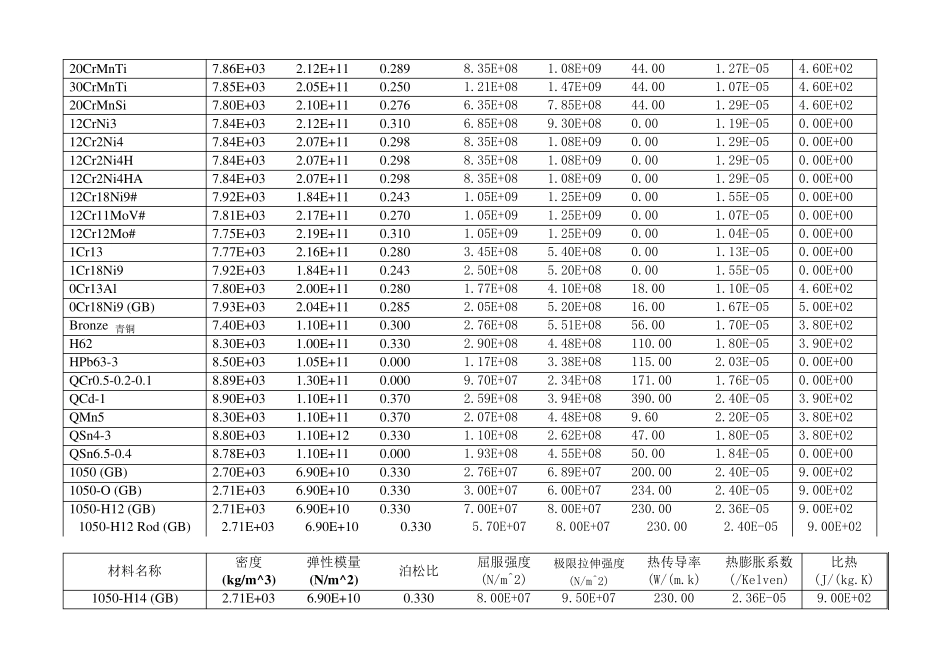
3/9
常用工程材料属性 材料名称 密度 (kg/dm^3) 弹性模量 (N/m^2) 泊松比 屈服强度 (N/m^2) 极限拉伸强度 (N/m^2) 热传导率 (W/(m.k) 热膨胀系数 (/Kelven) 比热 (J/(kg.K) Q195 7.69E+03 2.12E+11 0.286 1.95E+08 3.50E+08 43.00 8.80E-06 4.40E+02 Q215 7.69E+03 2.12E+11 0.288 2.15E+08 3.50E+08 43.00 8.80E-06 4.40E+02 Q235 7.86E+03 2.08E+11 0.277 2.35E+08 3.90E+08 43.00 8.70E-06 4.40E+02 Q235-A 7.86E+03 2.12E+11 0.288 2.35E+08 3.90E+08 43.00 1.20E-05 4.40E+02 Q235-B 7.83E+03 2.10E+11 0.274 2.35E+08 3.90E+08 43.00 8.00E-06 4.40E+02 Q255 7.83E+03 2.10E+11 0.274 2.55E+08 4.50E+08 43.00 8.00E-06 4.40E+02 Q275 7.83E+03 2.10E+11 0.274 2.50E+08 4.90E+08 43.00 8.00E-06 4.40E+02 08F 7.83E+03 2.19E+11 0.267 1.75E+08 2.95E+08 48.00 8.70E-06 4.40E+02 08 7.82E+03 2.11E+11 0.279 1.95E+08 3.25E+08 48.00 1.22E-05 4.40E+02 10F 7.85E+03 2.12E+11 0.270 1.85E+08 3.15E+08 48.00 1.25E-05 4.40E+02 10 7.86E+03 2.10E+11 0.270 2.05E+08 3.35E+08 48.00 1.26E-05 4.40E+02 15F 7.85E+03 2.12E+11 0.288 2.05E+08 3.55E+08 48.00 1.19E-05 4.40E+02 15 7.85E+03 2.13E+11 0.289 2.25E+08 3.75E+08 48.00 1.19E-05 4.40E+02 20 7.80E+03 2.13E+11 0.282 2.15E+08 4.10E+08 48.00 1.19E-05 4.40E+02 20G 7.80E+03 2.11E+11 0.286 2.45E+08 4.25E+08 48.00 1.24E-05 4.40E+02 20g 7.80E+03 2.11E+11 0.286 2.45E+08 4.00E+08 48.00 1.24E-05 4.40E+02 25 7.85E+03 2.06E+11 0.281 2.75E+08 4.50E+08 48.00 1.10E-05 4.40E+02 30 7.86E+03 2.17E+11 0.317 2.95E+08 4.90E+08 48.00 1.08E-05 4.40E+02 35 7.87E+03 2.12E+11 0.291 3.15E+08 5.30E+08 48.00 1.25E-05 4.40E+02 40 7.81E+03 2.09E+11 0.270 3.35E+08 5.70E+08 48.00 9.00E-06 4.40E+02 45 7.89E+03 2.09E+11 0.269 3.55E+08 6.00E+08 48.00 1.17E-05 4.50E+02 50 7.86E+03 2.07E+11 0.276 3.75E+08 6.30E+08 48.00 1.21E-05 4.50E+02 55 7.83E+03 2.17E+11 0.270 3.80E+08 6.45E+08 48.00 9.90E-06 4.50E+02 60 8....

1、当您付费下载文档后,您只拥有了使用权限,并不意味着购买了版权,文档只能用于自身使用,不得用于其他商业用途(如 [转卖]进行直接盈利或[编辑后售卖]进行间接盈利)。
2、本站所有内容均由合作方或网友上传,本站不对文档的完整性、权威性及其观点立场正确性做任何保证或承诺!文档内容仅供研究参考,付费前请自行鉴别。
3、如文档内容存在违规,或者侵犯商业秘密、侵犯著作权等,请点击“违规举报”。

碎片内容

常用工程材料属性

确认删除?
VIP
微信客服
  • 扫码咨询
会员Q群
  • 会员专属群点击这里加入QQ群
客服邮箱
回到顶部