电脑桌面
添加小米粒文库到电脑桌面
安装后可以在桌面快捷访问

数列解题技巧归纳总结好5份VIP免费

数列解题技巧归纳总结好5份_第1页
1/15
数列解题技巧归纳总结好5份_第2页
2/15
数列解题技巧归纳总结好5份_第3页
3/15
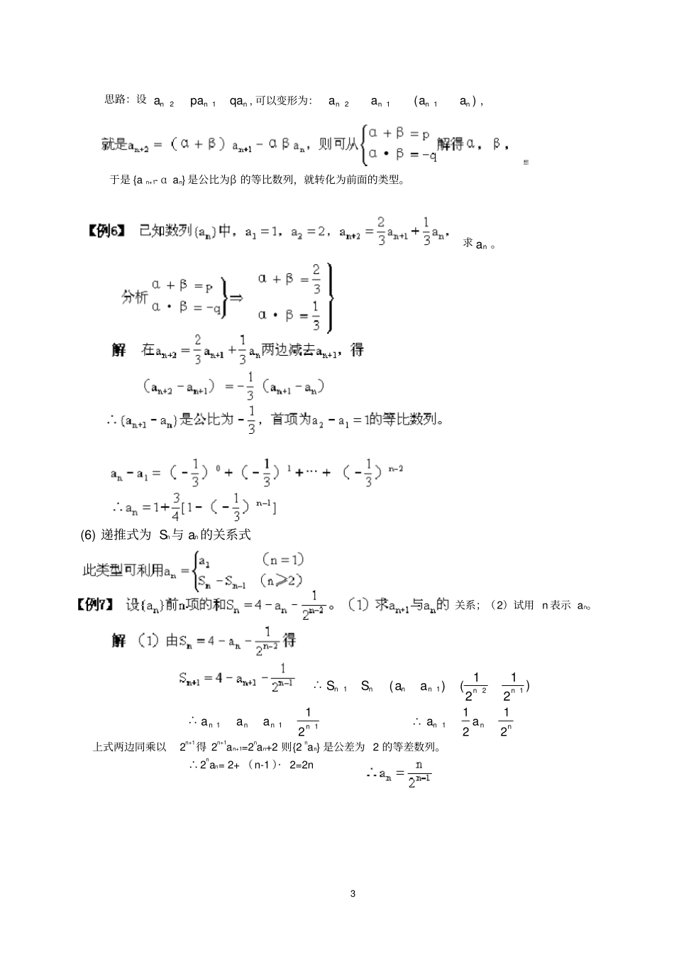
1 知识框架111111(2)(2)(1)(1)()22()nnnnnnmpqnnnnaq naaa qaad naandnn nSaanadaaaamnpq两个基等比数列的定义本数列等比数列的通项公式等比数列数列数列的分类数列数列的通项公式函数角度理解的概念数列的递推关系等差数列的定义等差数列的通项公式等差数列等差数列的求和公式等差数列的性质1111(1)(1)11(1)()nnnnmpqaa qaqqqqSnaqa aa amnpq等比数列的求和公式等比数列的性质公式法分组求和错位相减求和数列裂项求和求和倒序相加求和累加累积归纳猜想证明分期付款数列的应用其他掌握了数列的基本知识,特别是等差、等比数列的定义、通项公式、求和公式及性质,掌握了典型题型的解法和数学思想法的应用,就有可能在高考中顺利地解决数列问题。一、典型题的技巧解法1、求通项公式(1)观察法。(2)由递推公式求通项。对于由递推公式所确定的数列的求解,通常可通过对递推公式的变换转化成等差数列或等比数列问题。(1) 递推式为 an+1=an+d 及 an+1=qan(d,q 为常数)例 1、已知 {a n} 满足 an+1=an+2,而且 a1=1。求 an。例 1、解 an+1-a n=2 为常数∴{a n} 是首项为 1,公差为 2 的等差数列∴an=1+2(n-1 )即 an=2n-1 例 2、已知 {}na满足112nnaa ,而12a,求na =?2 (2)递推式为 an+1=an+f (n)例 3、已知 {}na中112a,12141nnaan,求na .解: 由已知可知)12)(12(11nnaann)121121(21nn令 n=1, 2,⋯,(n-1 ),代入得( n-1 )个等式累加,即(a2-a 1)+(a3-a 2)+⋯ +(an-a n-1)2434)1211(211nnnaan★说明只要和 f (1)+f (2)+⋯+f (n-1 )是可求的,就可以由an+1=an+f (n)以 n=1,2,⋯,(n-1 )代入,可得n-1 个等式累加而求an。(3) 递推式为 an+1=pan+q(p,q 为常数)例 4、 {}na中,11a,对于 n>1(n∈ N)有132nnaa,求na . 解法一:由已知递推式得an+1=3an+2,an=3an-1+2。两式相减: an+1-a n=3(an-a n-1)因此数列 {a n+1-a n} 是公比为 3 的等比数列,其首项为a2-a 1=(3× 1+2)-1=4 ∴an+1-a n=4· 3n-1 an+1=3an+2 ∴3an+2-a n=4·3n-1 即 a n=2·3n-1-1 解法二: 上法得 {a n+1-a n} 是公比为 3 的等比数列, 于是有:a2-a 1=4,a3-a 2=4· 3,a4-a 3=4· 32,⋯,an-a n-1=4· 3n-2,把 n-1 个等式累加得:∴an=2· 3n-1-1 (4) 递推式为 an+1=p a n+q n (p,q 为常数))(3211nnnnbb...

1、当您付费下载文档后,您只拥有了使用权限,并不意味着购买了版权,文档只能用于自身使用,不得用于其他商业用途(如 [转卖]进行直接盈利或[编辑后售卖]进行间接盈利)。
2、本站所有内容均由合作方或网友上传,本站不对文档的完整性、权威性及其观点立场正确性做任何保证或承诺!文档内容仅供研究参考,付费前请自行鉴别。
3、如文档内容存在违规,或者侵犯商业秘密、侵犯著作权等,请点击“违规举报”。

碎片内容

数列解题技巧归纳总结好5份

确认删除?
VIP
微信客服
  • 扫码咨询
会员Q群
  • 会员专属群点击这里加入QQ群
客服邮箱
回到顶部