电脑桌面
添加小米粒文库到电脑桌面
安装后可以在桌面快捷访问

数学九上人教版二次根式全能力检测试题尖子生卷VIP免费

数学九上人教版二次根式全能力检测试题尖子生卷_第1页
1/4
数学九上人教版二次根式全能力检测试题尖子生卷_第2页
2/4
数学九上人教版二次根式全能力检测试题尖子生卷_第3页
3/4
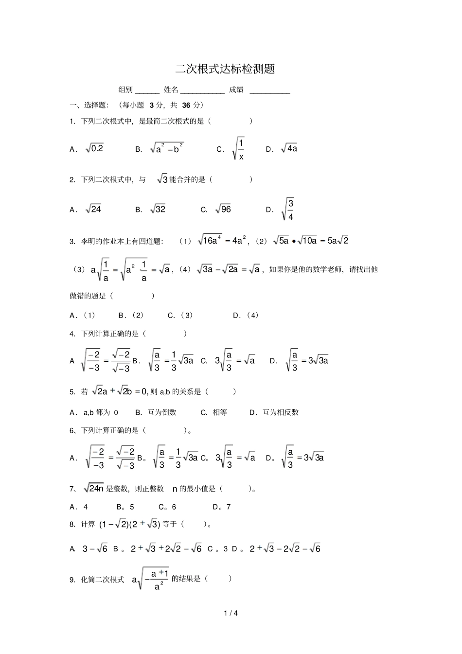
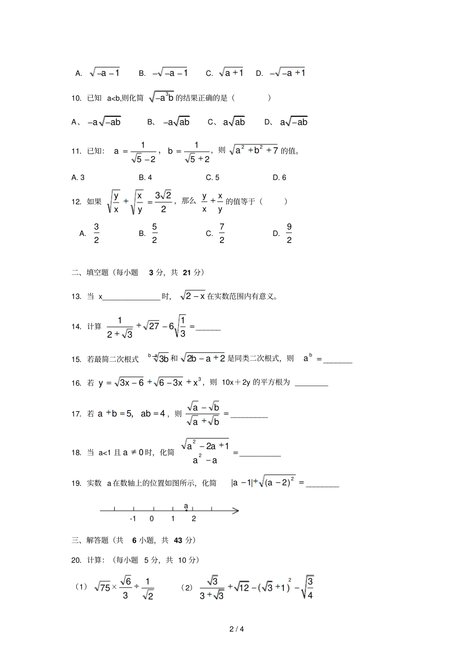
1 / 4 二次根式达标检测题组别 ______ 姓名 ___________ 成绩__________ 一、选择题: (每小题 3 分,共 36 分)1.下列二次根式中,是最简二次根式的是()A.2.0B.22baC.x1D.a42.下列二次根式中,与3 能合并的是()A.24B.32C.96D.433.李明的作业本上有四道题:(1)24416aa,(2)25105aaa(3)aaaaa112,(4)aaa23,如果你是他的数学老师,请找出他做错的题是()A.(1)B.(2)C.( 3)D.(4)4.下列计算正确的是()A 3232B.aa3313C.aa33D.aa3335.若,022ba则 a,b 的关系是()A.a,b 都为 0 B.互为倒数C.相等D.互为相反数6、下列计算正确的是()。A.3232B。aa3313C。aa33D。aa3337、24n 是整数,则正整数n 的最小值是()。A.4 B。5 C。6 D。7 8.计算)32)(21(等于()。A.63 B 。62232 C 。3 D 。622329.化简二次根式aaa12的结果是()2 / 4 A. a1B. a1C. a1D. a110.已知 a

1、当您付费下载文档后,您只拥有了使用权限,并不意味着购买了版权,文档只能用于自身使用,不得用于其他商业用途(如 [转卖]进行直接盈利或[编辑后售卖]进行间接盈利)。
2、本站所有内容均由合作方或网友上传,本站不对文档的完整性、权威性及其观点立场正确性做任何保证或承诺!文档内容仅供研究参考,付费前请自行鉴别。
3、如文档内容存在违规,或者侵犯商业秘密、侵犯著作权等,请点击“违规举报”。

碎片内容

数学九上人教版二次根式全能力检测试题尖子生卷

您可能关注的文档

确认删除?
微信客服
  • 扫码咨询
会员Q群
  • 会员专属群点击这里加入QQ群