电脑桌面
添加小米粒文库到电脑桌面
安装后可以在桌面快捷访问

整式的运算测试题及答案VIP专享VIP免费

整式的运算测试题及答案_第1页
1/3
整式的运算测试题及答案_第2页
2/3
整式的运算测试题及答案_第3页
3/3
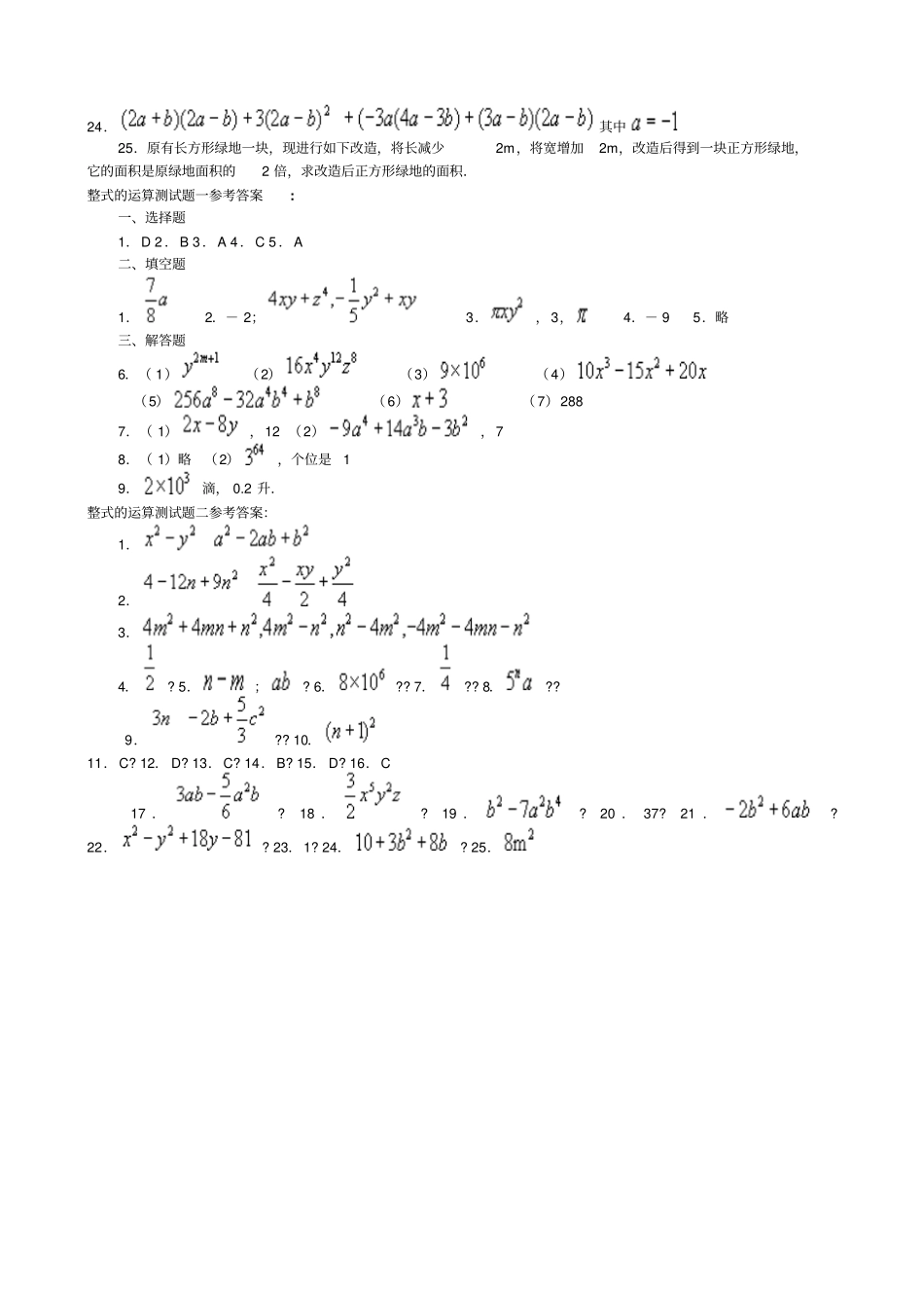
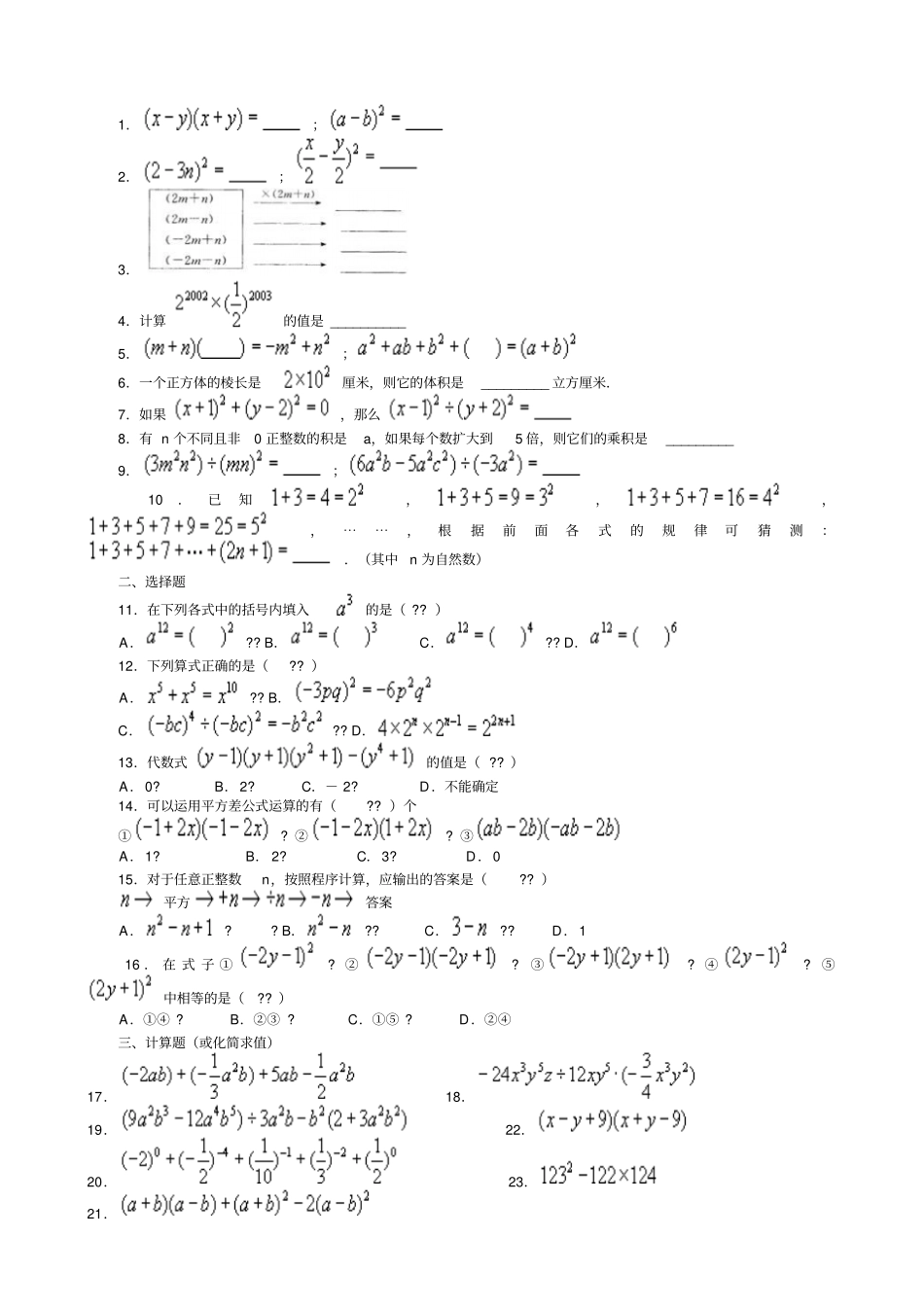
整式的运算测试题一一、选择题1.下列计算正确的是()A.B.C.D.2.等于()A.B.C.D.3.若,那么 A 等于()A.B.C.0 D.4.已知,则下列计算正确的是()A.B.C.D.5.一个正方形的边长增加2cm,它的面积就增加了24cm,这个正方形原来的边长是()A.5cm B.6cm C.8cm D.10cm 二、填空题1.一台电视机成本价为元,销售价比成本价增加25%,因库存积压,所以就按销售价的70%出售.那么,每台实际售价为________ 元.2.下列整式中单项式有_________ ,多项式有 _________ .,,,- 2 3.多项式中,次数最高的项是________,它是 ________ 次的,它的系数是_________ .4.若代数式的值是 6,则代数式的值是 _________.5.请写一个系数为负分数,含有字母的五次单项式________ .三、解答题6.计算:(1)(2)(3)(4)(5)( 6)(7)7.先化简,再求值:(1)其中.(2)其中.8.对于算式.(1)不用计算器,你能计算出来吗?(2)你知道它计算的结果是几位数吗?个位是几?9.某种液体中每升含有个有害细菌,某种杀虫剂1 滴可杀死个此种有害细胞.现要将这种2 升液体中的有害细菌杀死,要用这种杀虫剂多少滴?若10 滴这种杀虫剂为升,那么,你知道要用多少升杀虫剂吗?整式的运算测试题二一、填空题1.;2.;3.4.计算的值是 __________ 5.;6.一个正方体的棱长是厘米,则它的体积是_________ 立方厘米.7.如果,那么8.有 n 个不同且非0 正整数的积是a,如果每个数扩大到5 倍,则它们的乘积是_________ 9.;10.已知,,,,⋯⋯,根据前面各式的规律可猜测:.(其中n 为自然数)二、选择题11.在下列各式中的括号内填入的是( ?? )A.?? B.C.?? D.12.下列算式正确的是(?? )A.?? B.C.?? D.13.代数式的值是( ?? )A.0? B.2? C.- 2? D.不能确定14.可以运用平方差公式运算的有(?? )个①? ②? ③A.1? B. 2? C.3? D.0 15.对于任意正整数n,按照程序计算,应输出的答案是(?? )平方答案A.? ? B.?? C.?? D.1 16 . 在 式 子 ①? ②? ③? ④? ⑤中相等的是(?? )A.①④ ? B.②③ ? C.①⑤ ? D.②④三、计算题(或化简求值)17.18.19.22.20.23.21.24.其中25.原有长方形绿地一块,现进行如下改造,将长减少2m,将宽增加2m,改造后得到一块正方形绿地,它的面积是原绿地面积的2 倍,求改造后正方...

1、当您付费下载文档后,您只拥有了使用权限,并不意味着购买了版权,文档只能用于自身使用,不得用于其他商业用途(如 [转卖]进行直接盈利或[编辑后售卖]进行间接盈利)。
2、本站所有内容均由合作方或网友上传,本站不对文档的完整性、权威性及其观点立场正确性做任何保证或承诺!文档内容仅供研究参考,付费前请自行鉴别。
3、如文档内容存在违规,或者侵犯商业秘密、侵犯著作权等,请点击“违规举报”。

碎片内容

整式的运算测试题及答案

确认删除?
VIP
微信客服
  • 扫码咨询
会员Q群
  • 会员专属群点击这里加入QQ群
客服邮箱
回到顶部