电脑桌面
添加小米粒文库到电脑桌面
安装后可以在桌面快捷访问

新概念物理教程力学答案详解五VIP免费

新概念物理教程力学答案详解五_第1页
1/12
新概念物理教程力学答案详解五_第2页
2/12
新概念物理教程力学答案详解五_第3页
3/12
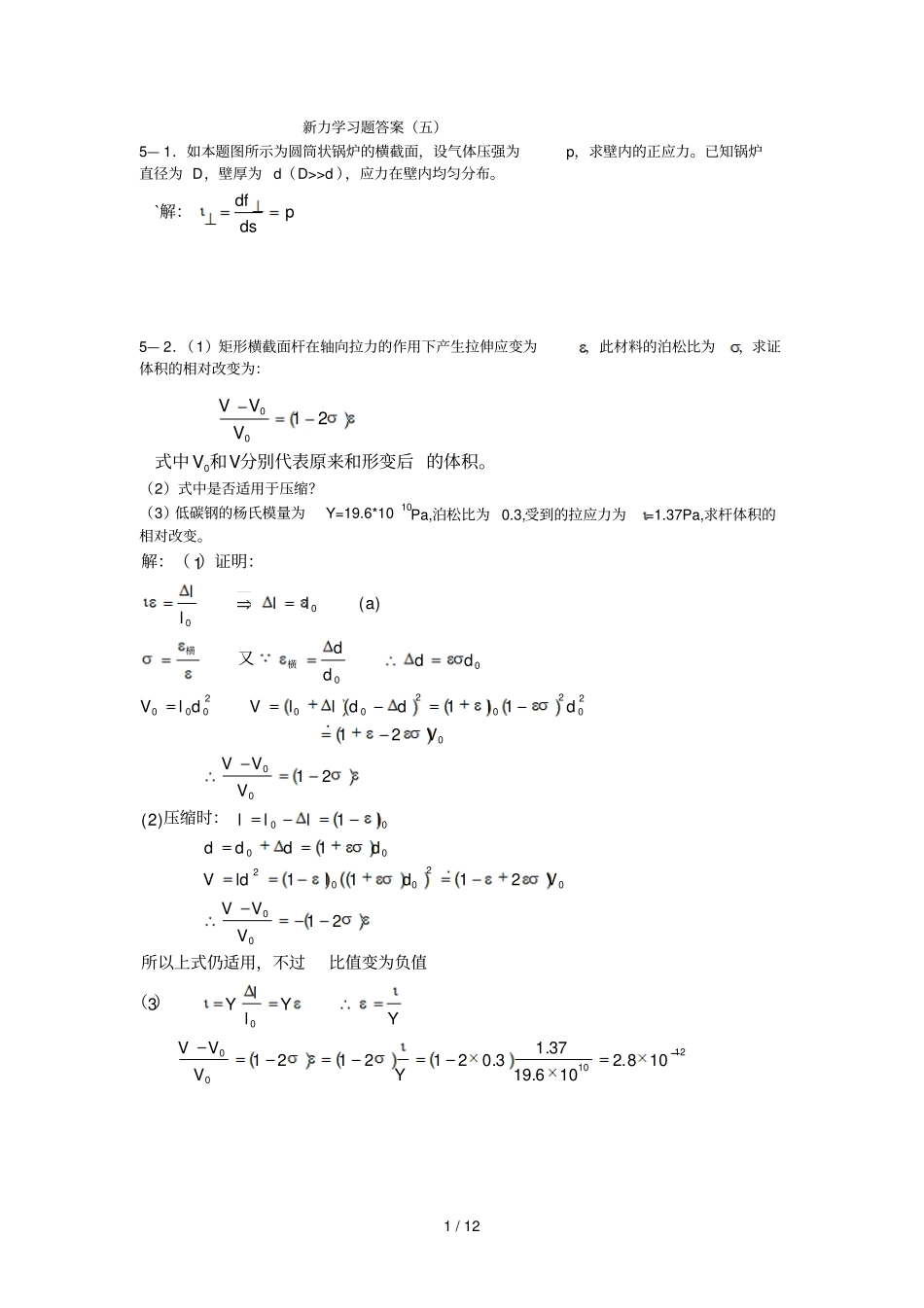
1 / 12 新力学习题答案(五)5— 1.如本题图所示为圆筒状锅炉的横截面,设气体压强为p,求壁内的正应力。已知锅炉直径为 D,壁厚为 d(D>>d ),应力在壁内均匀分布。5— 2.(1)矩形横截面杆在轴向拉力的作用下产生拉伸应变为,此材料的泊松比为,求证体积的相对改变为:(2)式中是否适用于压缩?(3)低碳钢的杨氏模量为Y=19.6*1010Pa,泊松比为 0.3,受到的拉应力为=1.37Pa,求杆体积的相对改变。pdsdf解:`的体积。分别代表原来和形变后和式中VVVVV00021121000000020020000000202020020000000108.2106.1937.13.0212121321211111)2(212111)(1YVVVYYllYVVVVdlldVddddllllVVVVdlddllVdlVddddallll)(比值变为负值所以上式仍适用,不过压缩时:又)证明:解:(横横2 / 12 5— 3.在剪切钢板时,由于刀口不快,没有切断,该材料发生了剪切形变。钢板的横截面积为 S=90cm2,二刀口间的距离为d=0.5cm,当剪切力为F=7*105N 时,已知钢板的剪变模量为 G=8*1010Pa,求:(1)钢板中的剪切应力;(2)钢板的剪切应变;(3)与刀口齐的两个截面所发生的相对滑移。5— 4.矩形横截面边长2:3 的梁在力偶矩作用下发生纯弯曲。对于截面的两个不同取向,同样的力偶矩产生的曲率半径之比为多少?5— 5.试推导钢管扭转常量D 的表达式。cmddddGGPaSF222108////845////1014475.010727)3(107271081097)2(109710901071)解:(492454)2(1224122323)1(12521232323212214324313RRMYaMaaYRahabMYaMaaYRahabaaMYbhR外外外外外则:另一种取向:则:一种取向:与设边长分别为半径公式,有:解:依据梁弯曲的曲率ldrrGdsdfdrrdrdsdrrrlGrrGlrrrrRrRRRl2////212122,内剪切力为的面积在剪切应力剪变角为偎依为处任一点产生的在半径角的扭转角时,对于当钢管有一个。与,管内外半径分别为设钢管长度为解:钢管中间是空的。3 / 12 1h2h5— 6.一铝管直径为4cm,壁厚 1mm,长 10m,一端固定,另一端作用一力矩50N.m,求铝管的扭转角。对同样尺寸的钢管再计算一遍。已知铝的剪变模量G=2.65*1010Pa,钢的剪变模量为 8.0*1010Pa.。5— 7.用流体静力学基本原理,论证液面上有大气、物体全部浸在液体中的情况下的阿基米德原理。5— 8.灭火筒每分钟喷出60m3 的水,假定喷口处水柱的截面积为1.5cm2,问水柱喷到2m高时其截面积有多大?解:设喷口处为1 处,水柱喷到2m 处为 2 处依伯努力方程有:4142414233222221RRlGDDRRlGldrrGdMMldrrGrdfdMRR此力对...

1、当您付费下载文档后,您只拥有了使用权限,并不意味着购买了版权,文档只能用于自身使用,不得用于其他商业用途(如 [转卖]进行直接盈利或[编辑后售卖]进行间接盈利)。
2、本站所有内容均由合作方或网友上传,本站不对文档的完整性、权威性及其观点立场正确性做任何保证或承诺!文档内容仅供研究参考,付费前请自行鉴别。
3、如文档内容存在违规,或者侵犯商业秘密、侵犯著作权等,请点击“违规举报”。

碎片内容

新概念物理教程力学答案详解五

您可能关注的文档

确认删除?
VIP
微信客服
  • 扫码咨询
会员Q群
  • 会员专属群点击这里加入QQ群
客服邮箱
回到顶部