电脑桌面
添加小米粒文库到电脑桌面
安装后可以在桌面快捷访问

热力学作业第三版陈钟秀VIP免费

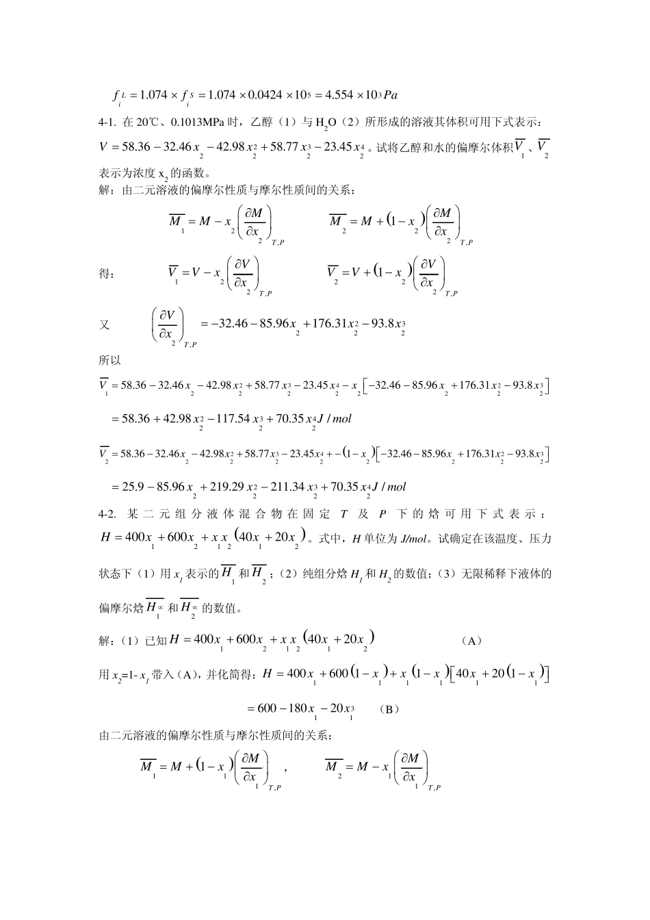
热力学作业第三版陈钟秀_第1页
1/8
热力学作业第三版陈钟秀_第2页
2/8
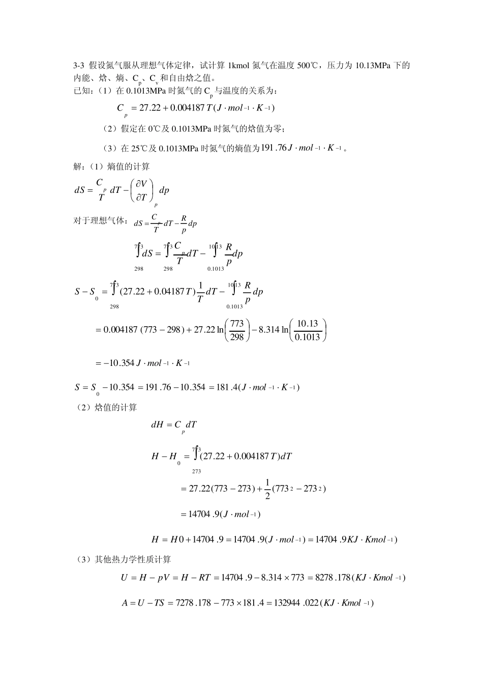
热力学作业第三版陈钟秀_第3页
3/8
3-3 假设氮气服从理想气体定律,试计算1kmol 氮气在温度500℃,压力为 10.13MPa 下的内能、焓、熵、Cp、Cv和自由焓之值。 已知:(1)在0.1013MPa 时氮气的 Cp与温度的关系为: )(004187.022.2711 KmolJTCp (2)假定在0℃及 0.1013MPa 时氮气的焓值为零; (3)在25℃及 0.1013MPa 时氮气的熵值为1176.191 KmolJ。 解:(1)熵值的计算 dpTVdTTCdSpp 对于理想气体:dppRdTTCdSp dppRdTTCdSp13.101013.0773298773298 13.101013.077329801)04187.022.27(dppRdTTTSS 1013.013.10ln314.8298773ln22.27)298773(004187.0 11354.10 KmolJ )(4.181354.1076.191354.10110 KmolJSS (2)焓值的计算 dTCdHp 7732730)004187.022.27(dTTHH )273773(21)273773(22.2722  )(9.147041molJ )9.14704)(9.147049.14704011KmolKJmolJHH (3)其他热力学性质计算 )(178.8278773314.89.147041KmolKJRTHpVHU )(022.1329444.181773178.72781KmolKJTSUA )(3.1255174.1817739.147041KmolKJTSHG )(45.30773004187.022.2711KmolJCp )(14.22314.845.301KmolKJRCCpV 3-5. 试用普遍化方法计算二氧化碳在473.2K、30 MPa 下的焓与熵。已知在相同条件下,二氧化碳处于理想状态的焓为8377 J/mol,熵为-25.86 J/(mol·K). 解:查附录二得二氧化碳的临界参数为:Tc=304.2K、Pc=7.376MPa、ω=0.225 ∴ Tr= T/ Tc=473.2/304.2=1.556 Pr= P/ Pc=30/7.376=4.067—利用普压法计算 查表,由线性内插法计算得出: 01.741RcHRT  10 . 0 4 6 6 2RcHRT  00 . 8 5 1 7RSR   10 . 2 9 6RSR  ∴由01RRRcccHHHRTRTRT、  01RRRSSSRRR计算得: HR=-4.377 KJ/mol SR=-7.635 J/( mol·K) ∴H= HR+ Hig=-4.377+8.377=4 KJ/mol S= SR+ Sig=-7.635-25.86=-33.5 J/( mol·K) 3-15. 试计算液态水在30℃下,压力分别为(a)饱和蒸汽压、(b)100× 105Pa 下的逸度和逸度系数。已知:(1)水在30℃时饱和蒸汽压pS=0.0424× 105Pa;(2)30℃,0~100× 105Pa 范围内将液态水...

1、当您付费下载文档后,您只拥有了使用权限,并不意味着购买了版权,文档只能用于自身使用,不得用于其他商业用途(如 [转卖]进行直接盈利或[编辑后售卖]进行间接盈利)。
2、本站所有内容均由合作方或网友上传,本站不对文档的完整性、权威性及其观点立场正确性做任何保证或承诺!文档内容仅供研究参考,付费前请自行鉴别。
3、如文档内容存在违规,或者侵犯商业秘密、侵犯著作权等,请点击“违规举报”。

碎片内容

热力学作业第三版陈钟秀

小辰2+ 关注
实名认证
内容提供者

出售各种资料和文档

确认删除?
VIP
微信客服
  • 扫码咨询
会员Q群
  • 会员专属群点击这里加入QQ群
客服邮箱
回到顶部