电脑桌面
添加小米粒文库到电脑桌面
安装后可以在桌面快捷访问

热学(秦允豪编)习题解答第二章分子动理学理论的平衡态理论VIP免费

热学(秦允豪编)习题解答第二章分子动理学理论的平衡态理论_第1页
1/19
热学(秦允豪编)习题解答第二章分子动理学理论的平衡态理论_第2页
2/19
热学(秦允豪编)习题解答第二章分子动理学理论的平衡态理论_第3页
3/19
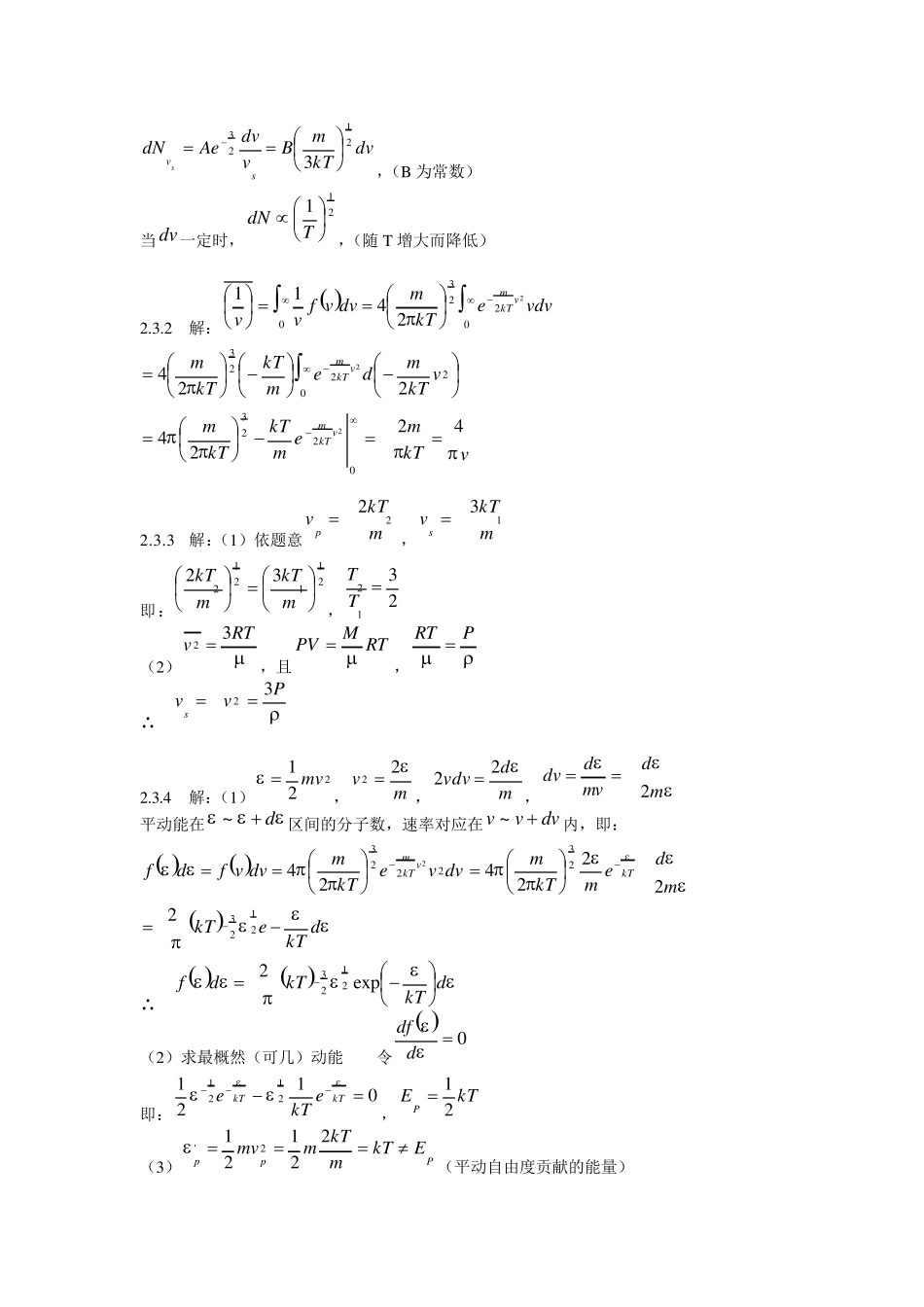
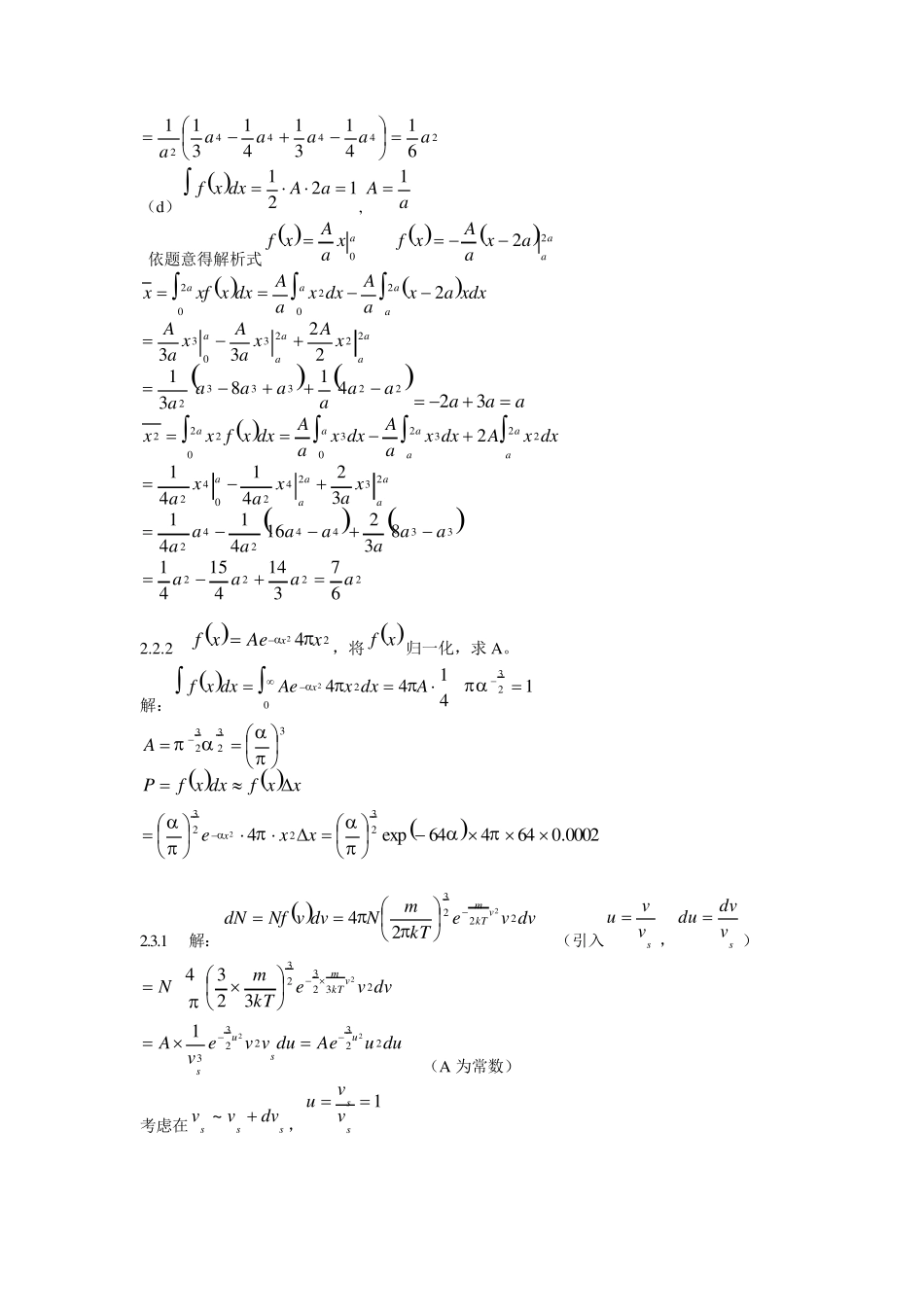
03121131211332332aaaaaa普通物理学教程《热学》(秦允豪编) 习题解答 第二章 分子动理学理论的平衡态理论 2.2.1 解:(a)归一化 aaaAAdxdxxf12,aA21 或:可直接由面积求。 12AadxxfS,aA21   04122aaxadxaxdxxxfx      0000aaaadxxxfdxxxfdxxxfdxxfxdxxfxx aaaaaaaaxxaxdxaxdxa022020202212122212121  232226121axadxxadxxfxxaa (b) aaaAaAdxdxxf20212,aA21(或 12  aA)   azaaadxxxfx2222121   aaaaaadxxfxx20233223486123121 (c) 1212Aadxxf,aA1 确定  xf的关系,由121211xxyyxxyy,得  02aaaxxf  aaxaxf02  aaaadxxaxadxxaxadxxxfx02022211 aaxaxaxaxa032203223121131211  aadxxaxadxxaxadxxfxx032023222211 aaxaxaxaxa04320432413114131124444261413141311aaaaaa (d) 1221aAdxxf,aA1 依题意得解析式 axaAxf0   aaaxaAxf22  aaaaxdxaxaAdxxaAdxxxfx022202 aaaaaxAxaAxaA2223032233 22333241831aaaaaaaaaa32  aaaaaadxxAdxxaAdxxaAdxxfxx20022233222 aaaaaxaxaxa23242042324141 3344242832164141aaaaaaaa 22226731441541aaaa 2.2.2  242xAexfx,将 xf归一化,求A。 解: 0232141442AdxxAedxxfx 32323A    xxfdxxfP 0002.064464exp4232232xxex 2.3.1 解: dvvekTmNdvvNfdNvkTm2223224 (引入svvu , svdvdu ) dvvekTmNvkTm23232323234 duuAeduvvevAusus2232233221...

1、当您付费下载文档后,您只拥有了使用权限,并不意味着购买了版权,文档只能用于自身使用,不得用于其他商业用途(如 [转卖]进行直接盈利或[编辑后售卖]进行间接盈利)。
2、本站所有内容均由合作方或网友上传,本站不对文档的完整性、权威性及其观点立场正确性做任何保证或承诺!文档内容仅供研究参考,付费前请自行鉴别。
3、如文档内容存在违规,或者侵犯商业秘密、侵犯著作权等,请点击“违规举报”。

碎片内容

热学(秦允豪编)习题解答第二章分子动理学理论的平衡态理论

确认删除?
VIP
微信客服
  • 扫码咨询
会员Q群
  • 会员专属群点击这里加入QQ群
客服邮箱
回到顶部