电脑桌面
添加小米粒文库到电脑桌面
安装后可以在桌面快捷访问

新版刘瑞梅初中数学中考计算题复习最全-含答案-初中教育精选VIP专享VIP免费

新版刘瑞梅初中数学中考计算题复习最全-含答案-初中教育精选_第1页
1/23
新版刘瑞梅初中数学中考计算题复习最全-含答案-初中教育精选_第2页
2/23
新版刘瑞梅初中数学中考计算题复习最全-含答案-初中教育精选_第3页
3/23
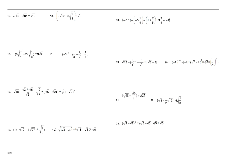
1 初中数学计算题大全(一)计算下列各题1 .36)21(60tan1)2(1002.431417)539(5243.)4(31)5.01(14 4.01( 3)2712325.4 +23 +386.232812564.07.1112223--8. (1)03220113)21((2)239910123229、( 1)-23+ (-37 )- ( -12 )+45;(2))926132((-6 )2.10.601651274311.(1)11( 24)(6)28(2)32 125 24精选12.41812313.12 1236314..xxxx3)1246( 15.61)2131()3(2;16.20)21()25(293631817.(1))3127(12(2)661833218.24335274158.019.11312()|32|4320.1020133112384。21.. 22.112 81262323.2(32)(53)(53)精选参考答案1.解 =1-|1 -3 | - 2+23=1+1-3 -2+23=3【解析】略2.5【解析】原式 =14-9=53.87【解析】解:)4(31)5.01(14413123181187先算乘方,再算乘除,最后算加减,有括号的先算括号里面的。注意:41-底数是 4,有小数又有分数时,一般都化成分数再进行计算。4.01( 3)271232= 13 32132 =2 3 .【解析】略5.3 6.4 【解析】主要考查实数的运算,考查基本知识和基本的计算能力,题目简单,但易出错,计算需细心。1、4 +23 +38 =232=32、23 12550.64=0.82=482(-2 )7. 4 3232-【解析】试题分析 : 先化简,再合并同类二次根式即可计算出结果.试题解析:1122 34 321222 3232332--=--=-考点 : 二次根式的运算.8.(1)32(2)9200【解析】(1)原式 =4+27+1 =32 (2)原式 =23(1012-992) (1分) =23( 101+99)(101-99) (2 分) =232200=9200 (1 分)利用幂的性质求值。利用乘法分配律求值。9.(1)-3; (2)10【解析】试题分析:(1)把有理数正负数分开相加即可;(2)先算乘方,再运用乘法分配律,要注意不要漏乘即可.试题解析:解:(1)-23+ (-37 )- (-12 )+45= — 23— 37+12+45= — 23— 37+12+45=-3; (2))926132((-6 )2=)926132(36=24— 6— 8=10精选考点:有理数的混合运算10.-30【解析】原式=)60()6512743(=)60(65)60(127)60(43=-45-35+50=-3011.(1)3264;(2) 3210.【解析】试题分析:(1)先把二次根式化成最简二次根式之后,再合并同类二次根式即可求出答案;(2)先把二次根式化成最简二次根式之后,再进行二次根式的乘除法运算.试题解析:(1)22=(26)(6)24原式22266243264;(2)31=4 345 2原式2=3103=210考点 : 二次根式的化简与计算.12.13.【解析】此题考查根式的计算解: 1...

1、当您付费下载文档后,您只拥有了使用权限,并不意味着购买了版权,文档只能用于自身使用,不得用于其他商业用途(如 [转卖]进行直接盈利或[编辑后售卖]进行间接盈利)。
2、本站所有内容均由合作方或网友上传,本站不对文档的完整性、权威性及其观点立场正确性做任何保证或承诺!文档内容仅供研究参考,付费前请自行鉴别。
3、如文档内容存在违规,或者侵犯商业秘密、侵犯著作权等,请点击“违规举报”。

碎片内容

新版刘瑞梅初中数学中考计算题复习最全-含答案-初中教育精选

确认删除?
VIP
微信客服
  • 扫码咨询
会员Q群
  • 会员专属群点击这里加入QQ群
客服邮箱
回到顶部