电脑桌面
添加小米粒文库到电脑桌面
安装后可以在桌面快捷访问

绝对值性质及运用VIP免费

绝对值性质及运用_第1页
1/6
绝对值性质及运用_第2页
2/6
绝对值性质及运用_第3页
3/6
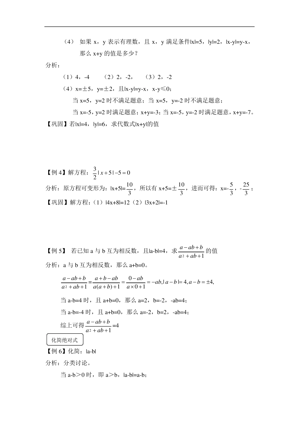
绝对值性质及运用 1、绝对值的定义:在数轴上,一个数所对应的点与原点的距离称为该数的绝对值,记作|a|。 2、绝对值的性质: (1) 绝对值的非负性,可以用下式表示:|a|≥0,这是绝对值非常重要的性质; a (a>0) (2) |a|= 0 (a=0) (代数意义) -a (a<0) (3) 若|a|=a,则a≥0;若|a|=-a,则a≤0; (4) 任何一个数的绝对值都不小于这个数,也不小于这个数的相反数,即|a|≥a,且|a|≥-a; (5) 若|a|=|b|,则a=b 或a=-b;(几何意义) (6) |ab|=|a|·|b|;|ba |=||||ba (b≠0); (7) |a|2 =|a 2 |=a 2 ; 【例1】 (1) 绝对值大于2.1 而小于4.2 的整数有多少个? (2) 若ab<|ab|,则下列结论正确的是( ) A.a<0,b<0 B.a>0,b<0 C.a<0,b>0 D.ab<0 (3) 下列各组判断中,正确的是( ) A.若|a|=b,则一定有a=b B.若|a|>|b|,则一定有a>b C. 若|a|>b,则一定有|a|>|b| D.若|a|=b,则一定有a 2 =(-b) 2 (4) 设a,b 是有理数,则|a+b|+9 有最小值还是最大值?其值是多少? 分析: (1) 结合数轴画图分析。绝对值大于2.1 而小于4.2 的整数有±3,±4,有4 个 绝对值的定义及性质 (2) 答案C 不完善,选择D.在此注意复习巩固知识点3。 (3) 选择D。 (4) 根据绝对值的非负性可以知道|a+b|≥0,则|a+b|≥9,有最小值9 【巩固】1、绝对值小于 3.1 的整数有哪些?它们的和为多少? 2、有理数 a 与 b 满足|a|>|b|,则下面哪个答案正确( ) A.a>b B.a=b C.a

1、当您付费下载文档后,您只拥有了使用权限,并不意味着购买了版权,文档只能用于自身使用,不得用于其他商业用途(如 [转卖]进行直接盈利或[编辑后售卖]进行间接盈利)。
2、本站所有内容均由合作方或网友上传,本站不对文档的完整性、权威性及其观点立场正确性做任何保证或承诺!文档内容仅供研究参考,付费前请自行鉴别。
3、如文档内容存在违规,或者侵犯商业秘密、侵犯著作权等,请点击“违规举报”。

碎片内容

绝对值性质及运用

小辰3+ 关注
实名认证
内容提供者

出售各种资料和文档

确认删除?
微信客服
  • 扫码咨询
会员Q群
  • 会员专属群点击这里加入QQ群