电脑桌面
添加小米粒文库到电脑桌面
安装后可以在桌面快捷访问

无机材料科学基础答案VIP免费

无机材料科学基础答案_第1页
1/24
无机材料科学基础答案_第2页
2/24
无机材料科学基础答案_第3页
3/24
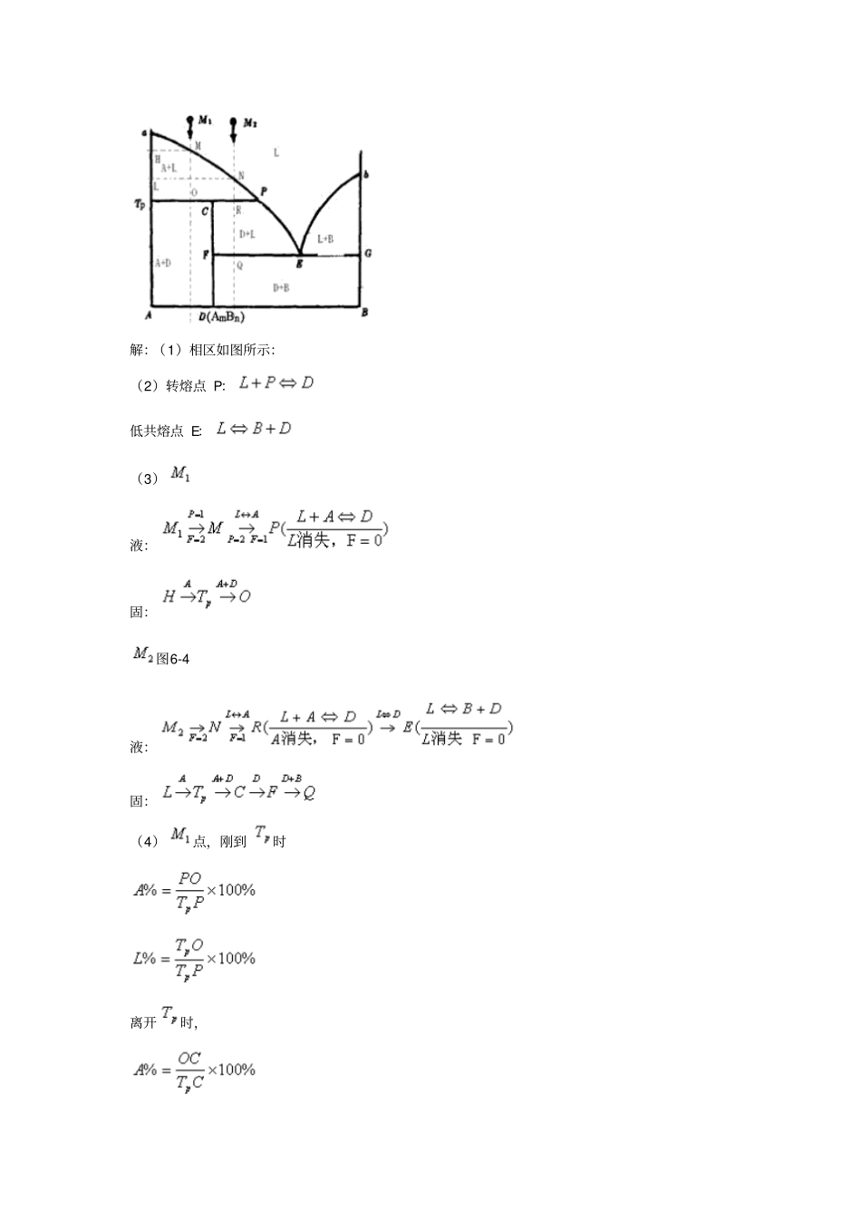
第六章答案6-1 略。6-2 什么是吉布斯相律?它有什么实际意义?解:相律是吉布斯根据热力学原理得出的相平衡基本定律,又称吉布斯相律, 用于描述达到相平衡时系统中自由度数与组分数和相数之间的关系。一般形式的数学表达式为F=C-P+2。其中 F为自由度数, C为组分数, P为相数, 2代表温度和压力两个变量。应用相率可以很方便地确定平衡体系的自由度数。6-3 固体硫有两种晶型,即单斜硫、斜方硫,因此,硫系统可能有四个相,如果某人实验得到这四个相平衡共存,试判断这个实验有无问题?解:有问题,根据相律,F=C-P+2=1-P+2=3-P,系统平衡时,F=0,则 P=3,硫系统只能是三相平衡系统。图6-1 图6-2 6-4 如图 6-1 是钙长石( CaAl 2Si 2O)的单元系统相图,请根据相图回解:(1)六方、正交和三斜钙长石的熔点各是多少?(2)三斜和六方晶型的转变是可逆的还是不可逆的?你是如何判断出来的?(3)正交晶型是热力学稳定态?还是介稳态?解:(1)六方钙长石熔点约1300℃(B点),正钙长石熔点约1180℃( C点),三斜钙长石的熔点约为 1750℃( A点)。(2)三斜与六方晶型的转变是可逆的。因为六方晶型加热到转变温度会转变成三斜晶型,而高温稳定的三斜晶型冷却到转变温度又会转变成六方晶型。(3)正交晶型是介稳态。6-5 图6-2 是具有多晶转变的某物质的相图,其中DEF线是熔体的蒸发曲线。KE是晶型 I 的升华曲线; GF是晶型 II 的升华曲线; JG是晶型 III的升华曲线,回答下列问题:(1)在图中标明各相的相区,并写出图中各无变量点的相平衡关系;(2)系统中哪种晶型为稳定相?哪种晶型为介稳相?(3)各晶型之间的转变是可逆转变还是不可逆转变?解:(1)KEC为晶型Ⅰ的相区,EFBC过冷液体的介稳区,AGFB晶型Ⅱ的介稳区,JGA晶型Ⅲ的介稳区, CED是液相区, KED是气相区;(2)晶型Ⅰ为稳定相,晶型Ⅱ、Ⅲ为介稳相;因为晶型Ⅱ、Ⅲ的蒸汽压高于晶型Ⅰ的,即它们的自由能较高,有自发转变为自由能较低的晶型Ⅰ的趋势;(3)晶型Ⅰ转变为晶型Ⅱ、Ⅲ是单向的,不可逆的,多晶转变点的温度高于两种晶型的熔点;晶型Ⅱ、Ⅲ之间的转变是可逆的,双向的,多晶转变点温度低于Ⅱ、Ⅲ的熔点。6-6 在SiO2系统相图中,找出两个可逆多晶转变和两个不可逆多晶转变的例子。解:可逆多晶转变:β- 石英←→ α- 石英 α- 石英←→ α- 鳞石英不可逆多晶转变:β- 方石英←→ β- 石英 γ- 鳞石英←→ β- 石...

1、当您付费下载文档后,您只拥有了使用权限,并不意味着购买了版权,文档只能用于自身使用,不得用于其他商业用途(如 [转卖]进行直接盈利或[编辑后售卖]进行间接盈利)。
2、本站所有内容均由合作方或网友上传,本站不对文档的完整性、权威性及其观点立场正确性做任何保证或承诺!文档内容仅供研究参考,付费前请自行鉴别。
3、如文档内容存在违规,或者侵犯商业秘密、侵犯著作权等,请点击“违规举报”。

碎片内容

无机材料科学基础答案

确认删除?
VIP
微信客服
  • 扫码咨询
会员Q群
  • 会员专属群点击这里加入QQ群
客服邮箱
回到顶部