电脑桌面
添加小米粒文库到电脑桌面
安装后可以在桌面快捷访问

普通高中学业水平考试数学试题含答案VIP免费

普通高中学业水平考试数学试题含答案_第1页
1/4
普通高中学业水平考试数学试题含答案_第2页
2/4
普通高中学业水平考试数学试题含答案_第3页
3/4
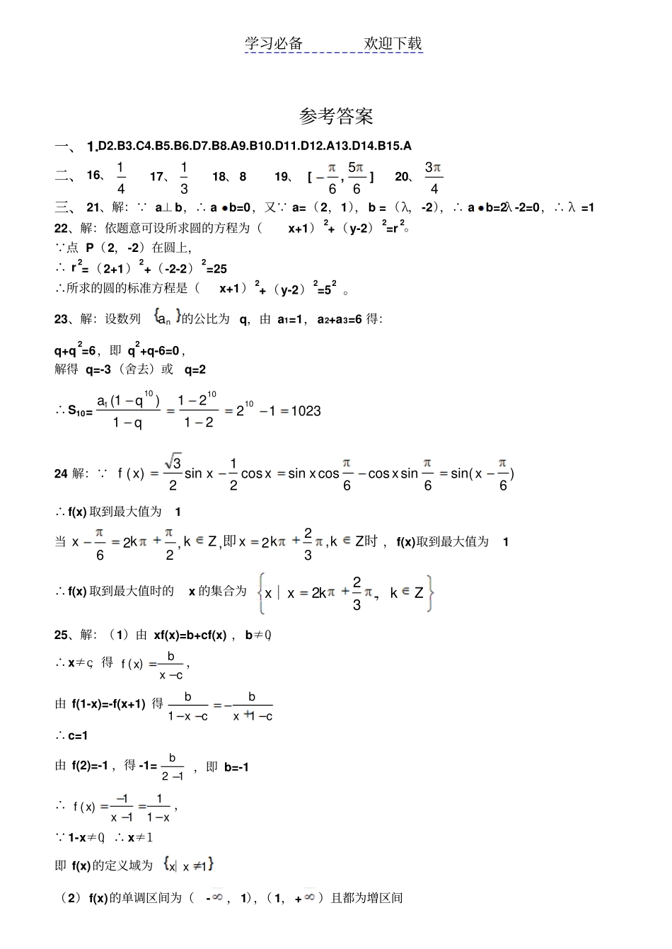
学习必备欢迎下载20XX 年普通高中学业水平考试数学试题第一卷(选择题共 45 分)一.选择题( 15' ×3=45')1.已知角的终边经过点(3,4 ),则 tan x 等于 ( ) A.34B.34C. 43D.432.已知 lg 2,lg3ab ,则3lg2等于 ( ) A. abB. baC. baD. ab3.设集合(1,2)M,则下列关系成立的是( ) A.1 ∈M B.2∈M C.(1,2) ∈M D.(2,1) ∈M 4.直线30xy的倾斜角是 ( ) A.300B.450C.600D.9005.底面半径为2,高为 4 的圆柱 ,它的侧面积是 ( ) A.8π B.16π C.20π D.24π6.若 b<0

1、当您付费下载文档后,您只拥有了使用权限,并不意味着购买了版权,文档只能用于自身使用,不得用于其他商业用途(如 [转卖]进行直接盈利或[编辑后售卖]进行间接盈利)。
2、本站所有内容均由合作方或网友上传,本站不对文档的完整性、权威性及其观点立场正确性做任何保证或承诺!文档内容仅供研究参考,付费前请自行鉴别。
3、如文档内容存在违规,或者侵犯商业秘密、侵犯著作权等,请点击“违规举报”。

碎片内容

普通高中学业水平考试数学试题含答案

您可能关注的文档

确认删除?
微信客服
  • 扫码咨询
会员Q群
  • 会员专属群点击这里加入QQ群