电脑桌面
添加小米粒文库到电脑桌面
安装后可以在桌面快捷访问

有理数提高培优之混合运算50题附答案解析VIP免费

有理数提高培优之混合运算50题附答案解析_第1页
1/11
有理数提高培优之混合运算50题附答案解析_第2页
2/11
有理数提高培优之混合运算50题附答案解析_第3页
3/11
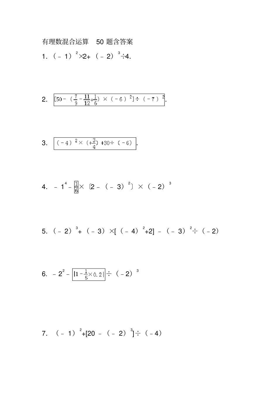
有理数混合运算50 题含答案1.(﹣ 1)2×2+ (﹣ 2)3÷4.2..3..4.﹣ 14﹣ ×〔2﹣(﹣ 3)2〕×(﹣2)35.(﹣ 2)3+ (﹣ 3)×[(﹣ 4)2+2] ﹣(﹣ 3)2÷(﹣2)6. ﹣22﹣÷(﹣2)3 7.(﹣ 1)2+[20 ﹣(﹣ 2)3]÷(﹣4)8..9..10.11..12.18×()﹣(﹣ 24)×()13..14. 15. ﹣32﹣(﹣ 3)2×(﹣2)﹣ [(﹣ 2)×(﹣1)]2 16. [2832003+ (﹣ 283)2003﹣10]×(﹣2)÷×(﹣1)2002 17.18. ﹣14﹣( 1﹣ )÷3×|3﹣(﹣ 3)2|.19.(﹣ 2)2+{6 ﹣(﹣ 3)×2}÷4﹣5÷ ×20.21.﹣32÷3+ ( ﹣ )×12﹣(﹣ 1)2010;22..23.;24.;25.;26. .27..28.29. ;30. ;31. 32..;33.﹣ 32+ (﹣ 3)2+ (﹣ 5)2×(﹣ )﹣ 0.32÷|﹣0.9|.34.(﹣ 2×5)3﹣(﹣ 1 )×(﹣ )2﹣(﹣)2.35.1 × ﹣(﹣)×2 + (﹣)÷136. ﹣22+ (﹣ 2)4×( )3﹣|0.28|÷(﹣)237.( ﹣ +)×18+3.95 ×6﹣1.45×6.38. .39..40. [(﹣ 1)2005+ ( ﹣ ﹣ )×24]÷|﹣32+5| .41.[2 ﹣(+ ﹣ )×24]÷5×(﹣1)200942. ﹣14﹣[﹣2+ (1﹣0.2÷ )×(﹣3)] 43..44..45. ﹣5+[ ﹣ ﹣( 1﹣0.2÷ )×(﹣3)2] 46. ﹣10+8 ÷(﹣2)2﹣(﹣ 4)×(﹣3);47. ;48. 3×(﹣ 1)10+(﹣ 22)×|(﹣2)3|÷4÷2﹣|(﹣3)2|÷(﹣3)2×(﹣1)11;49. ;50. .参考答案(供参考):1.原式 =1 ×2+ (﹣ 8)÷4=2+ (﹣ 2)=0 .2.原式 =[50 ﹣(﹣+)×36]÷49=[50 ﹣(×36﹣×36+×36)]÷49=[50 ﹣(28﹣33+6 )]÷49 = (50﹣1)÷49=49 ÷49=1 .3.原式 =16 ×=12+ (﹣ 5)=7 4.原式 = ﹣1﹣×(2﹣9)×(﹣ 8)= ﹣1﹣=﹣.5. 原式 =﹣ 8+ (﹣ 3)×18 ﹣9÷(﹣2)=﹣ 8﹣54﹣ 9÷(﹣2)=﹣ 62+4.5= ﹣57.5.6. 原式 = ﹣4﹣÷(﹣8)= ﹣4+= ﹣37. (﹣ 1)2+[20 ﹣(﹣ 2)3]÷(﹣4)=1+[20 ﹣(﹣ 8)]÷(﹣4)=1+28 ×(﹣)=1 ﹣7= ﹣6.8.原式 =[1 ﹣( 1 ﹣)]×[2﹣9]=[1 ﹣] ×(﹣7)=×(﹣7)= ﹣.9. 原式 =×(﹣)﹣×(﹣)﹣ 2= ﹣+﹣2=﹣2= ﹣1.10.原式 =(+﹣)×(﹣ 48)= ﹣(×48+×48﹣×48)= ﹣( 8+36 ﹣4)= ﹣40.11.原式 =1.25 ×(﹣8)﹣[(﹣ 4)÷( ...

1、当您付费下载文档后,您只拥有了使用权限,并不意味着购买了版权,文档只能用于自身使用,不得用于其他商业用途(如 [转卖]进行直接盈利或[编辑后售卖]进行间接盈利)。
2、本站所有内容均由合作方或网友上传,本站不对文档的完整性、权威性及其观点立场正确性做任何保证或承诺!文档内容仅供研究参考,付费前请自行鉴别。
3、如文档内容存在违规,或者侵犯商业秘密、侵犯著作权等,请点击“违规举报”。

碎片内容

有理数提高培优之混合运算50题附答案解析

爱的疯狂+ 关注
实名认证
内容提供者

该用户很懒,什么也没介绍

确认删除?
VIP
微信客服
  • 扫码咨询
会员Q群
  • 会员专属群点击这里加入QQ群
客服邮箱
回到顶部