电脑桌面
添加小米粒文库到电脑桌面
安装后可以在桌面快捷访问

2019天津中考数学试题VIP免费

2019天津中考数学试题_第1页
1/19
2019天津中考数学试题_第2页
2/19
2019天津中考数学试题_第3页
3/19
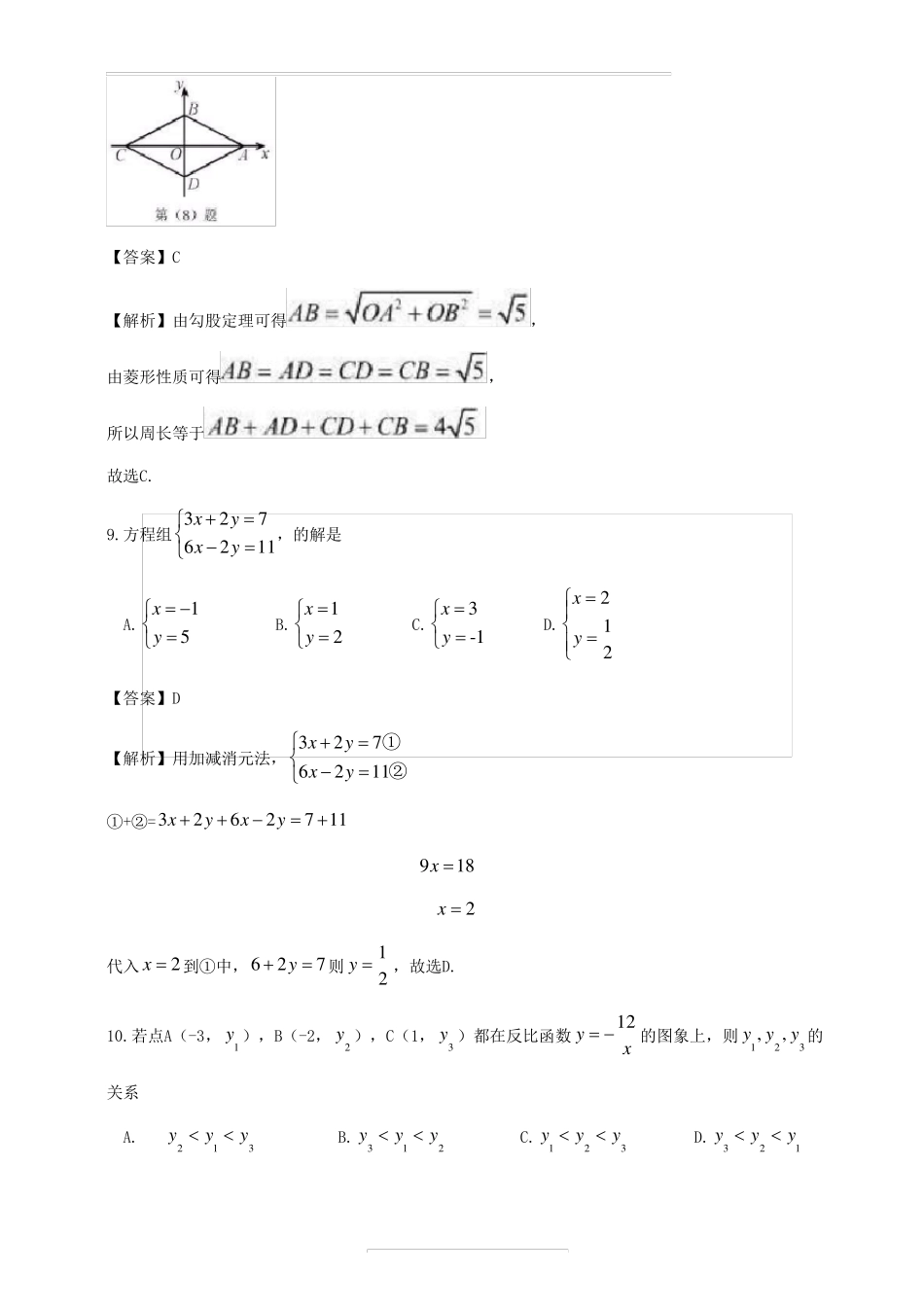
2019年天津市初中毕业生学生考试试卷 数学 试卷满分120分,考试时间100分钟。 第I卷 一、选择题(本大题12小题,每小题3分,共36分) 1.计算(-3)×9的结果等于 A. -27 B. -6 C. 27 D. 6 【答案】A 【解析】有理数的乘法运算:=-3×9=-27,故选A. 2.60sin2的值等于 A. 1 B. 2 C. 3 D. 2 【答案】B 【解析】锐角三角函数计算, 60sin2=2× 23= 3 ,故选A. 3.据2019年3月21日《天津日报》报道:“伟大的变革---庆祝改革开放四十周年大型展览”3月20日圆满闭幕,自开幕以来,现场观众累计约为4230000人次,将4230000用科学记数法表示为 A. 0.423×107 B.4.23×106 C.42.3×105 D.423×104 【答案】B 【解析】科学记数法表示为4.23×106,故选B. 4.在一些美术字中,有的汉字是轴对称图形,下面4个汉字中,可以看做是轴对称图形的是 【答案】A 【解析】美、丽、校、园四个汉子中,“美”可以看做轴对称图形。故选A 5.右图是一个由6个相同的正方体组成的立体图形,它的主视图是 【答案】B 【解析】图中的立体图形主视图为,故选B. 6.估计3 3 的值在 A.2和3之间 B.3和4之间 C.4和5之间 D.5和6之间 【答案】D 【解析】因为,所以,故选D. 7.计算1212aaa的结果是 A. 2 B. 22a C. 1 D.14aa 【答案】A 【解析】21221212aaaaa,故选A. 8.如图,四边形ABCD为菱形,A、B两点的坐标分别是(2,0),(0,1),点C、D在坐标轴上,则菱形ABCD的周长等于 A.5 B.34 C.54 D. 20 【答案】C 【解析】由勾股定理可得, 由菱形性质可得, 所以周长等于 故选C. 9.方程组1 126723yxyx,的解是 A.51yx B.21yx C.1-3yx D.212yx 【答案】D 【解析】用加减消元法,②①1 126723yxyx ①+②=1 172623yxyx 1 89x 2x 代入2x到①中,726y则21y,故选D. 10.若点A(-3,1y ),B(-2,2y ),C(1,3y )都在反比函数xy1 2的图象上,则321,,yyy的关系 A. 312yyy B.213yyy C.321yyy D.123yyy 【答案】B 【解析】将A(-3,1y ),B(-2,2y ),C(1,3y )代入反比函数 xy1 2中,得:1 2-11 2,621 2,431 2321yyy,所以213yyy,故选B. 11.如图,将△ABC绕点C顺时针旋转得到△DEC,使...

1、当您付费下载文档后,您只拥有了使用权限,并不意味着购买了版权,文档只能用于自身使用,不得用于其他商业用途(如 [转卖]进行直接盈利或[编辑后售卖]进行间接盈利)。
2、本站所有内容均由合作方或网友上传,本站不对文档的完整性、权威性及其观点立场正确性做任何保证或承诺!文档内容仅供研究参考,付费前请自行鉴别。
3、如文档内容存在违规,或者侵犯商业秘密、侵犯著作权等,请点击“违规举报”。

碎片内容

2019天津中考数学试题

小辰2+ 关注
实名认证
内容提供者

出售各种资料和文档

确认删除?
VIP
微信客服
  • 扫码咨询
会员Q群
  • 会员专属群点击这里加入QQ群
客服邮箱
回到顶部