电脑桌面
添加小米粒文库到电脑桌面
安装后可以在桌面快捷访问

武汉大学数学分析考试解答VIP免费

武汉大学数学分析考试解答_第1页
1/4
武汉大学数学分析考试解答_第2页
2/4
武汉大学数学分析考试解答_第3页
3/4
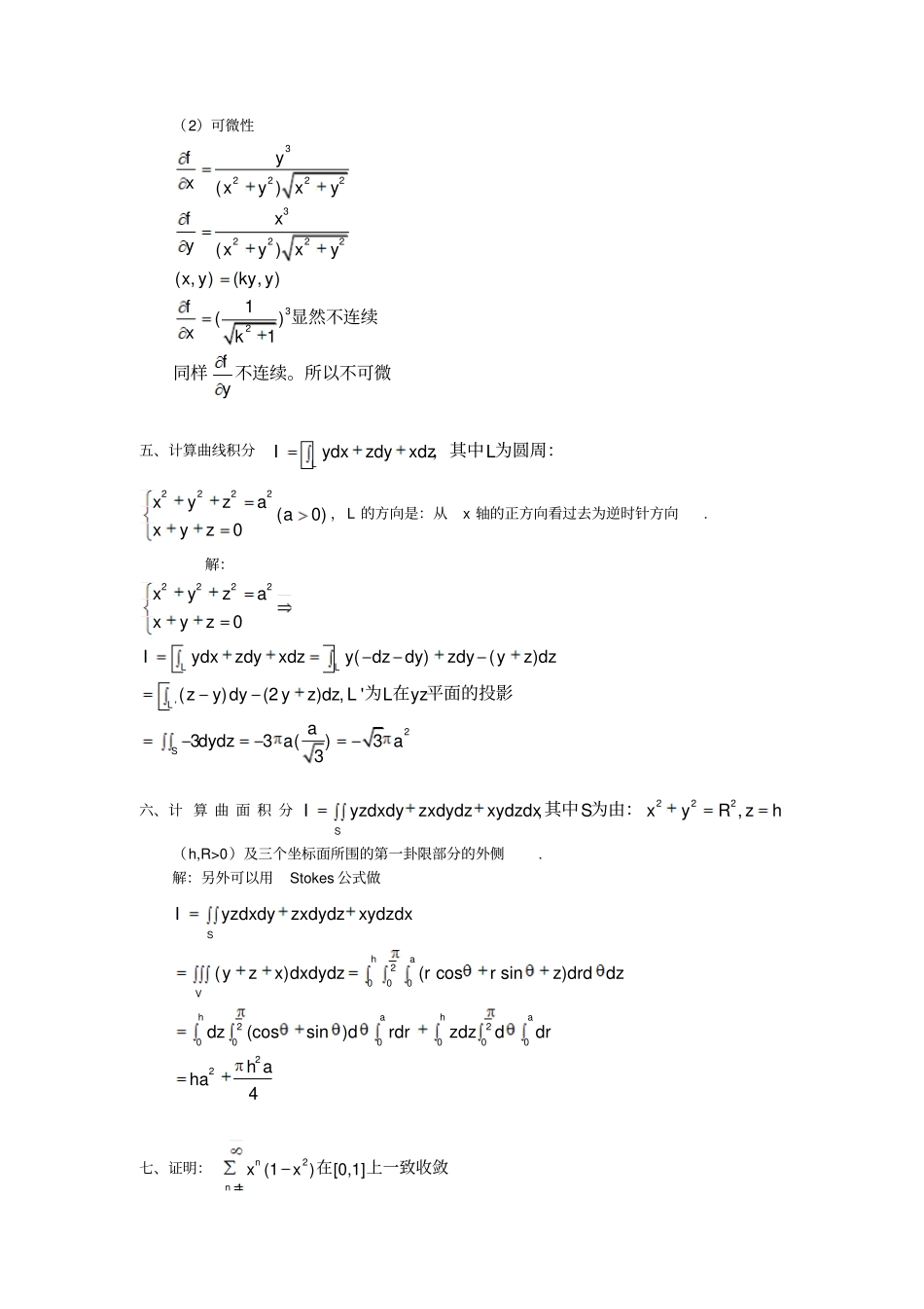
武汉大学 2004 年攻读硕士学位研究生入学考试试题科目名称:数学分析科目代码: 369 一、计算下列各题:1.2. 2212lim(...),(1)11 ()1lim()11(1)1nnnnnnaaaanaaaaaalim(sin1sin)11lim 2sin()cos2211lim 2sincos22(1)0xxxxxxxxxxxxx3.4. 2030220sin()limsin()lim( ')313xxxtdtxxL Hospitalx法则2111arctan2arctan(21)arctan(21)244kkkkk5. 4812481232331...( )59!13!1( )...3!11!15!( )( )sin( )4( )( )( )24xxABeeA xB xxAeeeeBA xB x!7!6. "'2"22'2( ,)()( ),( )( ,)( ,)()( )()()( , )()(23)()(1)()xyxxyyxyxyyxyF x yxyz f z dzf zFx yFx yz fz dzxxyxfxyxxFx yfxyf xyxyyfxyyy设:其中为可微函数,求二、设113(1)0(1,2,3...)3nnnxxxnx,,,证明: limnnx 存在,并求出极限证明:211113(1)333(33)(3)33(1)3,3(2)3,33nnnnnnnnnnnnnnnnxxxxxxxxxxxxxxxx当不难证明当不难证明得到单调有界数列,所以存在极限,不难知极限为三、( ),( )[ , ]( , )'( )0f xg xa ba bg x设在上连续,内可导,,( )( )'( )( , )( )( )'( )f affa bgg bg证明:,使证明:(另外,还可以用上下确界的方法做)( )( ) ( )( ) ( )( ) ( )( )( ) ( )( )( , ),'( )'( ) ( )( )'( )'( ) ( )( )'( )0( )'( )( )'( )'( ) ( )'( ) ( )'( )( ( )( ))'( )( ( )( )H xf x g xf x g bf a g xH af a g bH bRollea bHfgfgfg bf a gfgf a gfg bfggff afg bg构造辅助函数根据中值定理,存在整理:)'( )0,( )( )( )0g xg xg bg从而单调,从而原式成立四、讨论22 ,( , )(0,0)( , )0,( , )(0,0)xyx yf x yxyx y在( 0,0)点的连续性和可微性解:(1)连续性:2222( ,)(0,0)( , )(0,0)( ,)(0,0)( ,)(0,0)2,( , )(0,0)( , )0,( , )(0,0)0lim( , )limlimlim01 ()x yx yx yx yxyx yf x yxyx yxyyf x yyyxyx从而知连续(2)可微性322223222232()()( , )(, )1()1fyxxyxyfxyxyxyx yky yfxkfy显然不连续同样不连续。所以不可微五、计算曲线积分LIydxzdyxdzL,其中 为圆周:2222(0)0xyzaaxyz,L 的方向是:从x 轴的正方向看过去为逆时针方向. 解:2222'20()()()(2),'33()33LLLSxyzaxyzIydxzdyxdzydzdyzdyyz dzzy dyyz dz LLyzadydzaa为 在平面的投影六、计 算 曲 面 积 分222,,SIyzdxdyzxdydzxydzdxSxyRzh其中 为由:(h,R>0)及三个坐标面所围的第一卦限部分的外侧. 解:另外可以用Stokes 公式做20002200000022()( cossin)(cossin )4ShaVhahaIyzdxdyzxdydz xydzdxyzx dxdydzrrz drd dzdzdrdrzdzddrh aha七、证明:21(1)[0,1]nnxx在上一致收敛解:222210,1,[0,],,21(1)(1)11,[1],1,21(1)(1)(1)110,,NMNMnNNnNMNMnNnNNxNMxxxxxxxxNMxxxxxxxNCauchy(1) 对取1-(2) 取1-,所以,对只要根据收敛准则知一致收敛八、证明积分200cos()||1pxdxppx在上一致收敛解:另外可以用积分判别法的Dirichlet 定理做200210020100212 2cos()cos( )coscos221(0,1)2cossinsin|2220,sinsinsin24pppaaaaMMMaaNNNxxdxdxxxxxdxdxxxpaxxaxdxdxxxxNaxaxdxdxxdxxx对任意不难证明足够大的时候:从而得证

1、当您付费下载文档后,您只拥有了使用权限,并不意味着购买了版权,文档只能用于自身使用,不得用于其他商业用途(如 [转卖]进行直接盈利或[编辑后售卖]进行间接盈利)。
2、本站所有内容均由合作方或网友上传,本站不对文档的完整性、权威性及其观点立场正确性做任何保证或承诺!文档内容仅供研究参考,付费前请自行鉴别。
3、如文档内容存在违规,或者侵犯商业秘密、侵犯著作权等,请点击“违规举报”。

碎片内容

武汉大学数学分析考试解答

您可能关注的文档

爱的疯狂+ 关注
实名认证
内容提供者

该用户很懒,什么也没介绍

确认删除?
VIP
微信客服
  • 扫码咨询
会员Q群
  • 会员专属群点击这里加入QQ群
客服邮箱
回到顶部