电脑桌面
添加小米粒文库到电脑桌面
安装后可以在桌面快捷访问

_数列典型例题VIP专享VIP免费

_数列典型例题_第1页
1/48
_数列典型例题_第2页
2/48
_数列典型例题_第3页
3/48
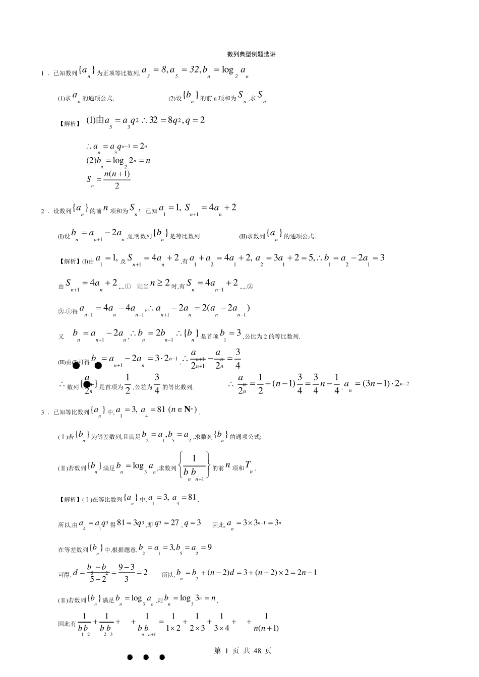
第 1 页 共 48 页 数列典型例题选讲 1 .已知数列}{na为正项等比数列,n2n53ab32a8alog,, (1)求na 的通项公式; (2)设}{nb的前n 项和为nS,求nS 【解析】 2253(1)328,2aa qq q由 3322(2)log 2(1)2nnnnnnaa qbnn nS 2 .设数列{}na的前n 项和为,nS 已知11,a 142nnSa  (I)设12nnnbaa,证明数列{ }nb是等比数列 (II)求数列{}na的通项公式. 【解析】(I)由11,a 及142nnSa ,有12142,aaa21121325,23aabaa 由142nnSa ,...① 则当2n 时,有142nnSa.....② ②-①得111144,22(2)nnnnnnnaaaaaaa 又12nnnbaa,12nnbb{ }nb是首项13b ,公比为2 的等比数列. (II)由(I)可得1123 2nnnnbaa,113224nnnnaa 数列{}2nna是首项为12 ,公差为34 的等比数列. 1331(1)22444nnann,2(31) 2nnan 3 .已知等比数列{}na中,13,a 481a *()nN. (Ⅰ)若{ }nb为等差数列,且满足2152,ba ba,求数列{ }nb的通项公式; (Ⅱ)若数列{ }nb满足3lognnba,求数列11n nb b的前n 项和nT . 【解析】(Ⅰ)在等比数列{}na中,13,a 481a . 所以,由341aa q得3813q,即327q ,3q  因此,13 33nnna 在等差数列{ }nb中,根据题意,21523,9baba 可得,52932523bbd 所以,2(2)3(2)221nbbndnn (Ⅱ)若数列{ }nb满足3lognnba,则3log 3nnbn, 因此有1 223111111111 22334(1)n nbbb bb bn n 第 2 页 共 48 页 1111111(1)()()()223341nn1111nnn  4 .设数列{}na的前n 项和为nS ,满足1nnStSn(2n ,*nN ,t为常数) ,且11a . (Ⅰ)当2t时,求2a 和3a ; (Ⅱ)若{1}na 是等比数列,求 t的值; (Ⅲ)求nS . 【解析】解法一(Ⅰ)当2n 时,1nnStSn,当3n 时,121nnStSn, 两式相减得11nnata(*) (3)n  2n 时,212StS ,得 1212aata 因为11a ,得 211ata ,故 11nnata(*) (2)n  因为2t,所以21213aa ,32217aa  (Ⅱ)由(*)可知112nnata (2n ),若{1}na 是等比数列,则1231,1,1aaa成等...

1、当您付费下载文档后,您只拥有了使用权限,并不意味着购买了版权,文档只能用于自身使用,不得用于其他商业用途(如 [转卖]进行直接盈利或[编辑后售卖]进行间接盈利)。
2、本站所有内容均由合作方或网友上传,本站不对文档的完整性、权威性及其观点立场正确性做任何保证或承诺!文档内容仅供研究参考,付费前请自行鉴别。
3、如文档内容存在违规,或者侵犯商业秘密、侵犯著作权等,请点击“违规举报”。

碎片内容

_数列典型例题

小辰8+ 关注
实名认证
内容提供者

出售各种资料和文档

确认删除?
VIP
微信客服
  • 扫码咨询
会员Q群
  • 会员专属群点击这里加入QQ群
客服邮箱
回到顶部