电脑桌面
添加小米粒文库到电脑桌面
安装后可以在桌面快捷访问

《复变函数》考试试题与答案各种总结VIP免费

《复变函数》考试试题与答案各种总结_第1页
1/24
《复变函数》考试试题与答案各种总结_第2页
2/24
《复变函数》考试试题与答案各种总结_第3页
3/24
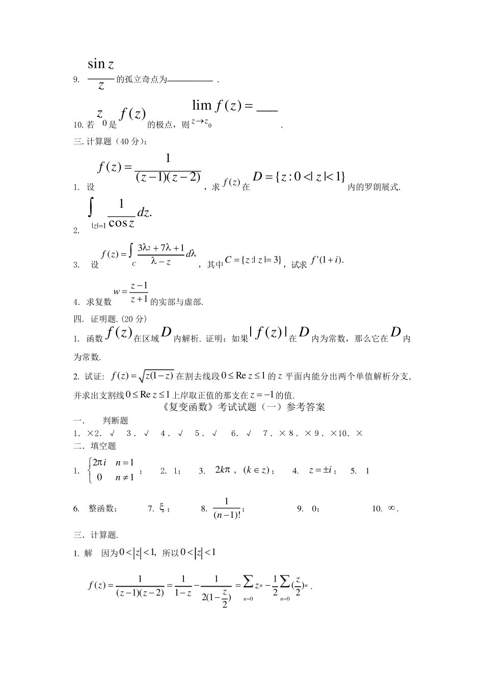
《复变函数》考试试题(一) 一、 判断题(20 分): 1.若 f(z)在 z0的某个邻域内可导,则函数f(z)在 z0解析. ( ) 2.有界整函数必在整个复平面为常数. ( ) 3.若}{nz收敛,则} {Renz与} {Imnz都收敛. ( ) 4.若 f(z)在区域 D 内解析,且0)('zf,则Czf)((常数). ( ) 5.若函数f(z)在 z0处解析,则它在该点的某个邻域内可以展开为幂级数. ( ) 6.若 z0是)(zf的 m 阶零点,则 z0是 1/)(zf的 m 阶极点. ( ) 7.若)(lim0zfzz存在且有限,则 z0是函数f(z)的可去奇点. ( ) 8.若函数f(z)在是区域 D 内的单叶函数,则)(0)('Dzzf. ( ) 9. 若 f(z)在区域 D 内解析, 则对 D 内任一简单闭曲线 C0)(Cdzzf. ( ) 10.若函数f(z)在区域 D 内的某个圆内恒等于常数,则 f(z)在区域 D 内恒等于常数.( ) 二.填空题(20 分) 1、 1||00)(zznzzdz__________.(n 为自然数) 2.zz22cossin _________. 3.函数zsin的周期为___________. 4.设11)(2  zzf,则)(zf的孤立奇点有__________. 5.幂级数0nnnz的收敛半径为__________. 6.若函数f(z)在整个平面上处处解析,则称它是__________. 7.若nnzlim,则nzzznn...lim21______________. 8.)0,(Renzzes________,其中 n 为自然数. 9. zzsin的孤立奇点为________ . 10.若0z是)(zf的极点,则___)(lim0zfzz. 三.计算题(40 分): 1. 设)2)(1(1)(zzzf,求)(zf在}1||0:{zzD内的罗朗展式. 2. .cos11||zdzz 3. 设 Cdzzf173)(2,其中}3|:|{zzC,试求 ).1('if 4. 求复数 11 zzw的实部与虚部. 四. 证明题.(20 分) 1. 函数)(zf在区域D 内解析. 证明:如果 |)(|zf在D 内为常数,那么它在D 内为常数. 2. 试证: ( )(1)f zzz在割去线段0Re1z的z平面内能分出两个单值解析分支, 并求出支割线0Re1z上岸取正值的那支在1z  的值. 《复变函数》考试试题(一)参考答案 一. 判断题 1.×2.√ 3.√ 4.√ 5.√ 6.√ 7.×8.×9.×10.× 二.填空题 1. 2101inn ; 2. 1; 3. 2k ,()kz; 4. zi  ; 5. 1 6. 整函数; 7.  ; 8. 1(1)!n ; 9. 0; 10.  . 三.计算题. 1. 解 因为01,z 所以01z 111( )...

1、当您付费下载文档后,您只拥有了使用权限,并不意味着购买了版权,文档只能用于自身使用,不得用于其他商业用途(如 [转卖]进行直接盈利或[编辑后售卖]进行间接盈利)。
2、本站所有内容均由合作方或网友上传,本站不对文档的完整性、权威性及其观点立场正确性做任何保证或承诺!文档内容仅供研究参考,付费前请自行鉴别。
3、如文档内容存在违规,或者侵犯商业秘密、侵犯著作权等,请点击“违规举报”。

碎片内容

《复变函数》考试试题与答案各种总结

小辰4+ 关注
实名认证
内容提供者

出售各种资料和文档

确认删除?
VIP
微信客服
  • 扫码咨询
会员Q群
  • 会员专属群点击这里加入QQ群
客服邮箱
回到顶部