电脑桌面
添加小米粒文库到电脑桌面
安装后可以在桌面快捷访问

《微积分》课后习题答案VIP免费

《微积分》课后习题答案_第1页
1/20
《微积分》课后习题答案_第2页
2/20
《微积分》课后习题答案_第3页
3/20
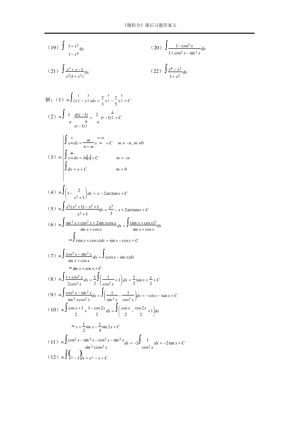
《微积分》课后习题答案五 习题五 (A) 1.求函数)(xf,使)3)(2()(xxxf,且0)1(f. 解:6x5x)(f2 x Cxxxxf62531)(23 6230625310)1(CCf 62362531)(23xxxxf 2.一曲线)(xfy 过点(0,2),且其上任意点的斜率为xxe321,求)(xf. 解:xexxf321)( Cexxfx 341)(2 1232)0(CCf 1341)(2xexxf 3.已知)(xf的一个原函数为2ex ,求xxfd)(. 解:222)()(xxx eexf Cx eCxfdxxfx 22)()( 4.一质点作直线运动,如果已知其速度为ttdtdxsin3 2 ,初始位移为20 s,求 s 和 t 的函数关系. 解:tttSsin3)(2  CtttScos)(3 《微积分》课后习题答案五 1212)0(CCS 1cos)(3tttS 5.设211)(lnxxf,求)(xf. 解:12arctan)(ln11)(lnCxxfxxf )0()(arctanarctan1CCeexfxCx 6.求函数)(xf,使5e1111)(22xxxxf且0)0(f. 解:Cxexxxfexxxfxx521arcsin1ln)(1111)(252 21002100)0(CCf 21521arcsin1ln)(2xexxxfx 7.求下列函数的不定积分 (1)xxxxd2 (2) )1(tadt (3) mn xx d (4)xxxd1122 (5)xxxd1124 (6)xxxxdcossin2sin1 (7)xxxxdcossin2cos (8)xxx d2cos1cos12 (9)xxxxdcossin2cos22 (10)xxxd sin2cos22 (11)xxxxdcossin12cos22 (12)xxxd1e1e2 (13)xxxxd85382 (14)xxxxd105211  (15)xxx-xxd)e(e (16)xxxxd)31)(2e( (17)xxxxxd 1111 (18)xxxxxxd151)1(222 《微积分》课后习题答案五 (19)xxxd1142 (20)xxxxdsincos1cos1222 (21)xxxxxd)1(1223 (22)xxxxd1224 解:(1)=Cxxdxxx252323215232)( (2)=Ctattda2121)1(2)1()1(.1 (3)=0 0 , mCxdxnmCxIndxxmnmCxmnmdxxmnmmnmn (4)=Cxxdxxarctan2 1212 (5)=Cxxxdxxxxxarctan2311)1(32222 (6)=d...

1、当您付费下载文档后,您只拥有了使用权限,并不意味着购买了版权,文档只能用于自身使用,不得用于其他商业用途(如 [转卖]进行直接盈利或[编辑后售卖]进行间接盈利)。
2、本站所有内容均由合作方或网友上传,本站不对文档的完整性、权威性及其观点立场正确性做任何保证或承诺!文档内容仅供研究参考,付费前请自行鉴别。
3、如文档内容存在违规,或者侵犯商业秘密、侵犯著作权等,请点击“违规举报”。

碎片内容

《微积分》课后习题答案

确认删除?
VIP
微信客服
  • 扫码咨询
会员Q群
  • 会员专属群点击这里加入QQ群
客服邮箱
回到顶部