电脑桌面
添加小米粒文库到电脑桌面
安装后可以在桌面快捷访问

《无机化学》高教版课后答案

《无机化学》高教版课后答案_第1页
1/39
《无机化学》高教版课后答案_第2页
2/39
《无机化学》高教版课后答案_第3页
3/39
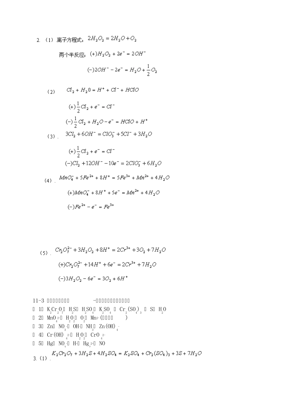
11-1 用氧化数法配平下列方程式。 ( 1) KClO3→ KClO4+ KCl ( 2) Ca5(PO4)F+ C+ SiO2→ CaSiO3+ CaF2+ P4+ CO ( 3) NaNO2+ NH4Cl→ N2+ NaCl+ H2O ( 4) K2Cr2O7+ FeSO4+ H2SO4→ Cr2(SO4)3+ Fe2(SO4)3+ K2SO4+ H2O ( 5) CsCl+ Ca→ CaCl2+ Cs↑ 11-2 将下列水溶液化学反应的方程式先改写为离子方程式,然后分解为两个半反应式(答案见附表电极电势表): ( 1) 2H2O2=2H2O+ O2 ( 2) Cl2+ 2H2O=HCl+ HClO ( 3) 3Cl2+ 6KOH=KClO3+ 5KC+ 3H2O ( 4) 2KMnO4+ 10FeSO4+ 8H2SO4=K2SO4+ 5Fe2(SO4)3 + 5MnSO4+ 8H2O ( 5) K2Cr2O7+ 3H2O2+ 4H2SO4= K2SO4+ Cr2(SO4)3+ 3O2+ 7H2O 11-3 用半反应法(离子-电子法)配平下列方程式: ( 1) K2Cr2O7+ H2S+ H2SO4→ K2SO4 + Cr2(SO4)3 + S+ H2O ( 2) MnO42-+ H2O2→ O2+ Mn2-(酸性溶液) ( 3) Zn+ NO3-+ OH-→ NH3+ Zn(OH)4- ( 4) Cr(OH) 42-+ H2O2→ CrO 42- ( 5) Hg+ NO3-+ H+→ Hg22++ NO 11-4 将下列反应设计成原电池,用标准电极电势判断标准下电池的正极和负极,电子传递的方向,正极和负极的电极反应,电池的电动势,写出电池符号。 ( 1) Zn+ 2Ag+= Zn2++ 2Agg ( 2) 2Fe3++ Fe+=3 Fe2+ ( 3) Zn+ 2H+= Zn2++ H2 (4)H2+ Cl2=2HCl ( 5) 3I2+ 6KOH=KIO3+ 5KI+ 3H2O 11-5 写出下列各对半反应组成的原电池的电极反应电池符号 ,并计算标准电动势。 ( 1) Fe3++ е-= Fe2+;I2+ 2е-=2I- ( 2) Cu2++ I-+ е-= CuI2; I2+ 2е-=2I- ( 3) Zn2++ 2е-= Zn;2H++ 2е-=H2 ( 4) Cu2++ 2е-= Cu;2H++ 2е-=H2 ( 5) O2+ 2H2O+ 4е-=4OH-;2H2O+ 2е-= H2+ 2OH- 11-6 以标准电极电势举例来说明以下说法并非一般规律:元素的氧化态越高,氧化性就越强。元素的氧化态越低还原性就越强。氧化剂得到电子越多(氧化态降得越低)氧化性越强。还原剂失去电子越多(氧化态升得越高)还原性越强。(提示:考察氮的氧化物和含氧酸之类的价态变化丰富的半反应)。 11-7 通过计算说明,对于 半反应 H+(10-4mol· l-1) + е-= 1∕ 2 H2(g0.01bar)和 半反应2H+(10-4mol· l-1) + 2е-= H2(g0.01bar) 电极电势是相...

1、当您付费下载文档后,您只拥有了使用权限,并不意味着购买了版权,文档只能用于自身使用,不得用于其他商业用途(如 [转卖]进行直接盈利或[编辑后售卖]进行间接盈利)。
2、本站所有内容均由合作方或网友上传,本站不对文档的完整性、权威性及其观点立场正确性做任何保证或承诺!文档内容仅供研究参考,付费前请自行鉴别。
3、如文档内容存在违规,或者侵犯商业秘密、侵犯著作权等,请点击“违规举报”。

碎片内容

《无机化学》高教版课后答案

您可能关注的文档

确认删除?
VIP
微信客服
  • 扫码咨询
会员Q群
  • 会员专属群点击这里加入QQ群
客服邮箱
回到顶部