电脑桌面
添加小米粒文库到电脑桌面
安装后可以在桌面快捷访问

海南海南中学高考数学模拟试卷理科十

海南海南中学高考数学模拟试卷理科十_第1页
1/23
海南海南中学高考数学模拟试卷理科十_第2页
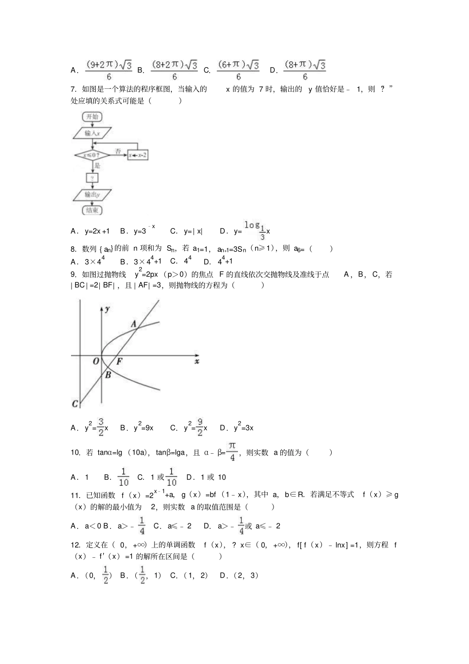
2/23
海南海南中学高考数学模拟试卷理科十_第3页
3/23
高中数学学习材料(灿若寒星精心整理制作)2016 年海南省海南中学高考数学模拟试卷(理科)(十)一、选择题:本大题共12 个小题,每小题5 分,共 60 分.在每小题给出的四个选项中,只有一项是符合题目要求的.1.如果复数(其中 i 为虚数单位, b 为实数)的实部和虚部互为相反数,那么b 等于()A.B.C. D.2 2.已知集合M= { 2,3,4,5} ,N= { x| sinx >0} ,则 M ∩N 为()A.{ 2,3,4,5} B.{ 2,3,4}C. { 3,4, 5}D.{ 2,3}3.已知随机变量X 服从正态分布N(a,4),且 P( X> 1)=0.5,则实数 a 的值为()A.1 B.C.2 D.4 4.设 a,b 为实数,则 “ab>1”是 “b>”的()A.充分不必要条件B.必要不充分条件C.充要条件 D .既不充分也不必要条件5.若向量=(3,﹣ 1),=(2,1),且?=7,则等于()A.0 B.2 C.﹣ 2 D.﹣ 2 或 2 6.一个几何体的三视图如图所示,则这个几何体的体积为()A.B.C.D.7.如图是一个算法的程序框图,当输入的x 的值为 7 时,输出的y 值恰好是﹣ 1,则 “?”处应填的关系式可能是()A.y=2x +1 B.y=3﹣xC.y=| x|D.y=x 8.数列 { an}的前 n 项和为 Sn,若 a1=1, an+1=3Sn(n≥1),则 a6=()A.3×44B.3×44+1 C.44D. 44+1 9.如图过抛物线y2=2px (p>0)的焦点 F 的直线依次交抛物线及准线于点A ,B,C,若| BC| =2| BF| ,且 | AF| =3,则抛物线的方程为()A.y2=x B.y2=9x C.y2=x D.y2=3x 10.若 tanα=lg (10a),tanβ=lga,且 α﹣ β=,则实数 a 的值为()A.1 B.C.1 或D.1 或 10 11.已知函数f(x)=2x﹣1+a, g(x)=bf (1﹣x),其中 a,b∈R.若满足不等式f(x)≥ g(x)的解的最小值为2,则实数 a 的取值范围是()A.a<0 B .a>﹣C.a≤﹣ 2 D. a>﹣或 a≤﹣ 2 12.定义在( 0,+∞)上的单调函数f(x), ? x∈( 0,+∞), f[ f(x)﹣ lnx] =1,则方程 f(x)﹣ f′(x)=1 的解所在区间是()A.(0,) B.(,1) C.( 1,2)D.(2,3)二、填空题(每题5 分,满分 20 分,将答案填在答题纸上)13.在△ ABC 中,角 A 、B、C 所对的边长分别为a、b、c,若 a2+b2=2c2,则 C 的最大角为.14.定义在 R 上的函数 f(x)=,则不等式 f(x)<﹣的解集为.15.已知圆 O:x2+y2=1 与 ...

1、当您付费下载文档后,您只拥有了使用权限,并不意味着购买了版权,文档只能用于自身使用,不得用于其他商业用途(如 [转卖]进行直接盈利或[编辑后售卖]进行间接盈利)。
2、本站所有内容均由合作方或网友上传,本站不对文档的完整性、权威性及其观点立场正确性做任何保证或承诺!文档内容仅供研究参考,付费前请自行鉴别。
3、如文档内容存在违规,或者侵犯商业秘密、侵犯著作权等,请点击“违规举报”。

碎片内容

海南海南中学高考数学模拟试卷理科十

爱的疯狂+ 关注
实名认证
内容提供者

该用户很懒,什么也没介绍

确认删除?
VIP
微信客服
  • 扫码咨询
会员Q群
  • 会员专属群点击这里加入QQ群
客服邮箱
回到顶部