电脑桌面
添加小米粒文库到电脑桌面
安装后可以在桌面快捷访问

人教版八年级英语短语(默写打印版)

人教版八年级英语短语(默写打印版)_第1页
1/8
人教版八年级英语短语(默写打印版)_第2页
2/8
人教版八年级英语短语(默写打印版)_第3页
3/8
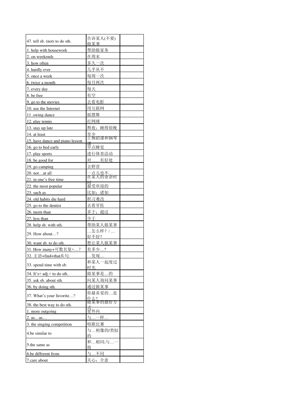
Unit1 Where did you go onvacation?1. go on vacation去度假2.stay at home待在家里3.go to the mountains去爬山4. go to the beach去海滩5. visit museums参观博物馆6. go to summer camp去参加夏令营7.quite a few相当多8.study for为… … 而学习9.go out出去10.most of the time大部分时间11. taste good尝起来很好吃12.have a good time玩得高兴13. of course当然14.feel like给...的感觉;感受到15.go shopping去购物16.in the past在过去17. walk around四处走走18. because of因为19. one bowl of…一碗… …20. the next day第二天21. drink tea喝茶22. find out找出;查明23. go on继续24.take photos照相25. something important重要的事26. up and down上上下下27. come up出来28. buy sth. for sb. / buy sb.sth.为某人买某物29. taste + adj.尝起来…30. look+adj.看起来…31.nothing… but+动词原形除了… 之外什么都没有32.seem+(to be)+ adj.看起来…33.arrive in+大地点/arrive at+小地点到达某地34.decide to do sth.决定去做某事35. try doing sth.尝试做某事36. try to do sth.尽力去做某事37. forget doing sth.忘记做过某事38. forget to do sth.忘记做某事39. enjoy doing sth.喜欢做某事40. want to do sth.想去做某事41. start doing sth.开始做某事42. stop doing sth.停止做某事43. dislike doing sth.不喜欢做某事44. keep doing sth.继续做某事45. Why not do. sth.?为什么不做… 呢?46. so+adj.+that+从句如此… 以至于…47. tell sb. (not) to do sth.告诉某人(不要)做某事1. help with housework帮助做家务2. on weekends在周末3. how often多久一次4. hardly ever几乎从不5. once a week每周一次6. twice a month每月两次7. every day每天8. be free有空9. go to the movies去看电影10. use the Internet用互联网11 .swing dance摇摆舞12. play tennis打网球13. stay up late熬夜;睡得很晚14. at least至少15. have dance and piano lesson上舞蹈课和钢琴课16. go to bed early早点睡觉17. play sports进行体育活动18. be good for对……有好处19. go camping去野营20. not…at all一点儿也不…21. in one...

1、当您付费下载文档后,您只拥有了使用权限,并不意味着购买了版权,文档只能用于自身使用,不得用于其他商业用途(如 [转卖]进行直接盈利或[编辑后售卖]进行间接盈利)。
2、本站所有内容均由合作方或网友上传,本站不对文档的完整性、权威性及其观点立场正确性做任何保证或承诺!文档内容仅供研究参考,付费前请自行鉴别。
3、如文档内容存在违规,或者侵犯商业秘密、侵犯著作权等,请点击“违规举报”。

碎片内容

人教版八年级英语短语(默写打印版)

您可能关注的文档

小辰5+ 关注
实名认证
内容提供者

出售各种资料和文档

确认删除?
VIP
微信客服
  • 扫码咨询
会员Q群
  • 会员专属群点击这里加入QQ群
客服邮箱
回到顶部