电脑桌面
添加小米粒文库到电脑桌面
安装后可以在桌面快捷访问

化工热力学复习总结

化工热力学复习总结_第1页
1/7
化工热力学复习总结_第2页
2/7
化工热力学复习总结_第3页
3/7
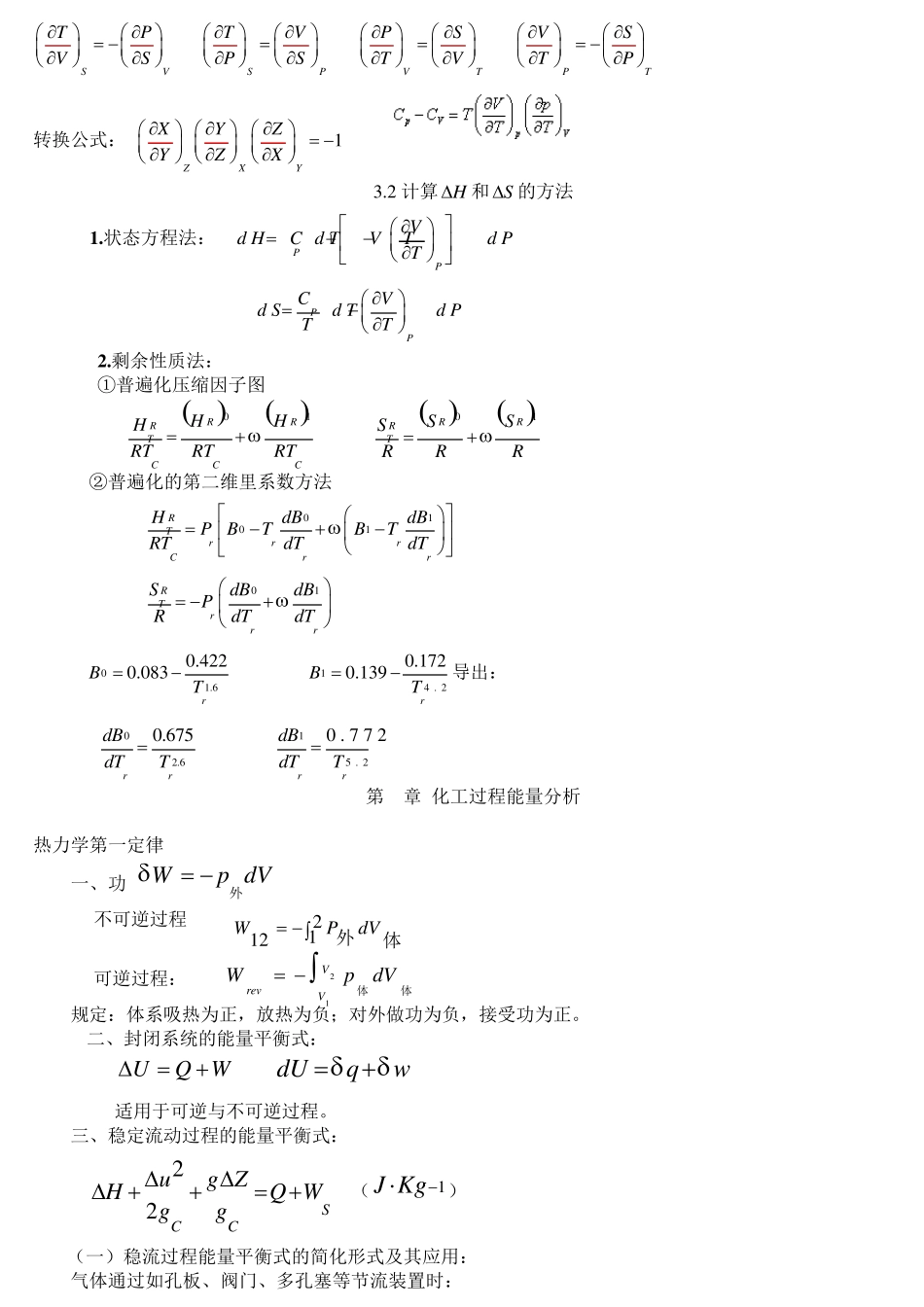
第2 章流体的P-V-T 关系 1.掌握状态方程式和用三参数对应态原理计算PVT性质的方法。 2.了解偏心因子的概念,掌握有关图表及计算方法。 1. 状态方程:在题意要求时使用该法。 ① 范德华方程:常用于公式证明和推导中。 ② R—K 方程: ③ 维里方程: 2. 普遍化法:使用条件:在不清楚用何种状态方程的情况下使用。 三参数法: ① 普遍化压缩因子法 ② 普遍化第二维里系数法 3、Redlich-Kw ong(RK)方程 3、Soave(SRK)方程 4、Peng-Robinson (PR)方程  22a0.45724crcR TTP 0.0778ccRTbP §2-5 高次型状态方程 5、virial 方程 virial 方程分为密度型: 和压力型: 第3 章 纯物质的热力学性质 1、热力学性质间的关系 dUTdSpdV H=U+PV d HT d SV d A=U-TS d AS d Tp d V  G=H-TS d GS d TV d p  Maxwell 关系式 SVTPVS  SPTVPS VTPSTV PTVSTP  转换公式: 1ZXYXYZYZX         3 .2 计算H和S 的方法 1 .状态方程法: PPVd HC d TVTd PT PPCVd Sd Td PTT 2 .剩余性质法: ①普遍化压缩因子图 01RRRTCCCHHHRTRTRT   01RRRTSSSRRR ②普遍化的第二维里系数方法 0101RTrrrCrrHdBdBPBTBTRTdTdT 01RTrrrSdBdBPRdTdT  01 .60 .4 2 20 .0 8 3rBT 14 . 20 .1 7 20 .1 3 9rBT导出: 02 .60 .6 7 5rrdBdTT 15 . 20 . 7 7 2rrdBdTT 第 6章 化工过程能量分析 热力学第一定律 一、功 Wp dV 外 不可逆过程: 211 2WPdV 外体 可逆过程: 21VrevVWpdV 体体 规定:体系吸热为正,放热为负;对外做功为负,接受功为正。 二、封闭系统的能量平衡式: UQW dUqw 适用于可逆与不可逆过程。 三、稳定流动过程的能量平衡式: 22SCCug ZHQ Wgg (1J Kg) (一)稳流过程能量平衡式的简化形式及其应用: 气体通过如孔板、阀门、多孔塞等节流装置时...

1、当您付费下载文档后,您只拥有了使用权限,并不意味着购买了版权,文档只能用于自身使用,不得用于其他商业用途(如 [转卖]进行直接盈利或[编辑后售卖]进行间接盈利)。
2、本站所有内容均由合作方或网友上传,本站不对文档的完整性、权威性及其观点立场正确性做任何保证或承诺!文档内容仅供研究参考,付费前请自行鉴别。
3、如文档内容存在违规,或者侵犯商业秘密、侵犯著作权等,请点击“违规举报”。

碎片内容

化工热力学复习总结

您可能关注的文档

确认删除?
VIP
微信客服
  • 扫码咨询
会员Q群
  • 会员专属群点击这里加入QQ群
客服邮箱
回到顶部