电脑桌面
添加小米粒文库到电脑桌面
安装后可以在桌面快捷访问

回归分析理论

回归分析理论_第1页
1/11
回归分析理论_第2页
2/11
回归分析理论_第3页
3/11
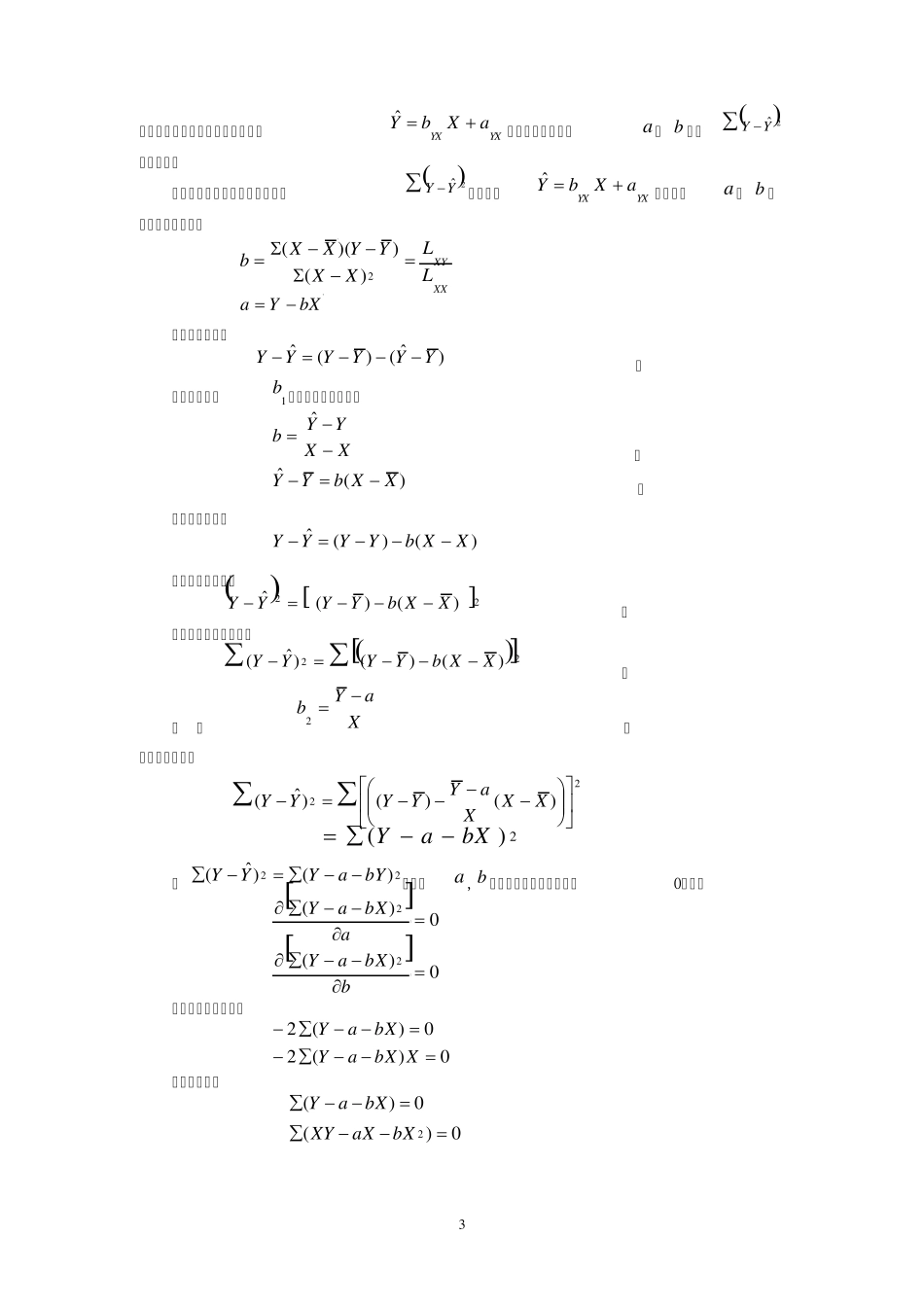
1 回归分析 第一节 回归分析的意义 一、什么是回归分析 回归分析是根据一个已知变量来预测另一个变量平均值的统计方法。 回归与相关之间既存在着密不可分的关系,也有本质的区别。从关系看,若两变量无相关时(即r=0),则不存在预测的问题;若两变量存在关系,那么相关程度愈高,误差愈小,预测的准确性越高。当变量完全相关时(即r=1),意味着不存在误差,其预测将会完全准确的。从区别看,一是相关表示两个变量双方向的相互关系,回归只表示一个变量随另一个变量变化的单方向关系。二是回归中有因变量和自变量的区分,相关并不表明事物的因果关系,对所有的研究变量平等看待,不作因变量、自变量的区分 二、回归分析的内容 通过回归分析主要解决以下几个问题: ( 1)确定几个变量之间的数学关系式。 ( 2)对所确定的数学关系式的可信程度进行各种统计检验,并区分出对某一特定变量影响较为显著的变量和影响不显著的变量。 ( 3)利用所确定的数学关系式,根据一个或几个变量的值来预测或控制另一个特定变量的取值,并给出这种预测或控制的精确度。 回归分析内容: (一)建立回归方程 (二)检验方程的有效性 (三)利用方程进行预测 (四)进行因素分析 第二节 一元线性回归方程的建立 一、一元线性回归意义 一元线性回归是指只有一个自变量的线性回归(linear regression),对具有线性关系的两个变量,回归的目的首先是找出因变量(一般记为Y )关于自变量(一般记为X )的定量关系。 如例11-1: 10 位大一学生平均每周所花的学习时间及他们期末考试成绩。观察数据我们可以发现两者之间呈正相关,不过更直接的方法是绘制散点图,即分别用两列变量做横、纵轴,描点。若它们的分布在一条带状区域,就预示着两列变量之间有相关,如图11-1 所示。 若没有随机误差的影响,这些点将落在一条直线上,这条直线称回归线( regression line),它是描述因变量Y 关于自变量X 关系的最合理的直线。 2 Y 100· · · 90· · · 80· · · · · 70· · · · 60· · · · · ·· 50· · 60 70 80 90 100 110 X 图 11-1 两列变量的关系图 二、一元线性回归方程 YabX 因回归表示两个变量单方向的推算关系,所以既可以用X 去预测Y ,也可以用Y 去预测 X 。因此,回归方程有两个。 以 X 为自变量预测因变量Y 时,方程为 XYXYaXbYˆ 以 Y 为自变量预...

1、当您付费下载文档后,您只拥有了使用权限,并不意味着购买了版权,文档只能用于自身使用,不得用于其他商业用途(如 [转卖]进行直接盈利或[编辑后售卖]进行间接盈利)。
2、本站所有内容均由合作方或网友上传,本站不对文档的完整性、权威性及其观点立场正确性做任何保证或承诺!文档内容仅供研究参考,付费前请自行鉴别。
3、如文档内容存在违规,或者侵犯商业秘密、侵犯著作权等,请点击“违规举报”。

碎片内容

回归分析理论

小辰5+ 关注
实名认证
内容提供者

出售各种资料和文档

确认删除?
VIP
微信客服
  • 扫码咨询
会员Q群
  • 会员专属群点击这里加入QQ群
客服邮箱
回到顶部