电脑桌面
添加小米粒文库到电脑桌面
安装后可以在桌面快捷访问

土体中附加应力的计算VIP免费

土体中附加应力的计算_第1页
1/12
土体中附加应力的计算_第2页
2/12
土体中附加应力的计算_第3页
3/12
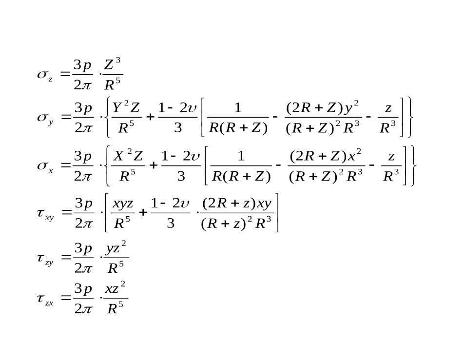
土体中附加应力的计算质疑港航091王俊杰5252325332252332252532323)()2(32123)()2()(132123)()2()(13212323RxzpRyzpRzRxyzRRxyzpRzRZRxZRZRRRZXpRzRZRyZRZRRRZYpRZpzxzyxyxyz上式为著名的布幸内斯克(Boussinesq)解答,它是求解地基中附加应力的基本公式。对于土力学来说,其实竖向附加应力分量σz有着特别重要的实用意义,因为这是引起地基压缩变形导致建筑物沉降的主要原因。重写σz表达式,得:由几何关系:222zrR22/52253)(112323zpKzrzpRzpz•应力叠加原理1122222211niiinnzPKzzPKzPKzPK叠加原理叠加原理建立在弹性理论基础之上,当地基表面同时作用有几个力时,可分别计算每一个力在地基中引起的附加应力,然后对每一个力在地基中引起的附加应力累加求出附加应力的总和。2.任意点的垂直附加应力—--角点法a.矩形面积内叠加原理地基中任意点的附加应力角点下垂直附加应力的计算公式0pKszb.矩形面积外0)(pKKKKdfgiscegisafghsbeghsz•地基中的附加应力计算步骤:•1、核算上部荷载•2、确定基础的尺寸•3、基底压力•4、基底附加应力•5、地基中的附加应力发现1小时内垂直沉降达30.5cm。结构物向西倾斜,并在24小时间谷仓倾倒,倾斜度离垂线达26o53,。谷仓西端下沉7.32m,东端上抬1.52m。事故的原因主要有两点:1.地基中存在冰河沉积的粘土层,按大沙基公式计算承载力,谷仓地基应力设计值为193.8kPa,而破坏时谷仓存谷载荷为329.4kPa,远大于设计值。2.根据资料计算,抗剪强度发展所需时间约为1年,而谷物荷载施加仅45天,几乎相当于突然加荷。地基上加荷的速率对发生事故起一定作用,因为当荷载突然施加的地基承载力要比加荷固结逐渐进行的地基承载力为小。这个因素对粘性士尤为重要,因为粘性土需要很年时间才能完全固结。当时的处理方法:在基础下设置了70多个支承于深16m基岩上的混凝土墩,使用了388只500KN的千斤顶,逐渐将倾斜的筒仓纠正。补救工作是在倾斜谷仓底部水平巷道中进行,新的基础在地表下深10.36m。经过纠倾处理后,谷仓于1916年起恢复使用。修复后位置比原来降低了4m。

1、当您付费下载文档后,您只拥有了使用权限,并不意味着购买了版权,文档只能用于自身使用,不得用于其他商业用途(如 [转卖]进行直接盈利或[编辑后售卖]进行间接盈利)。
2、本站所有内容均由合作方或网友上传,本站不对文档的完整性、权威性及其观点立场正确性做任何保证或承诺!文档内容仅供研究参考,付费前请自行鉴别。
3、如文档内容存在违规,或者侵犯商业秘密、侵犯著作权等,请点击“违规举报”。

碎片内容

土体中附加应力的计算

读万卷书+ 关注
实名认证
内容提供者

各类经典PPT文档分享

相关文档

确认删除?
VIP
微信客服
  • 扫码咨询
会员Q群
  • 会员专属群点击这里加入QQ群
客服邮箱
回到顶部