电脑桌面
添加小米粒文库到电脑桌面
安装后可以在桌面快捷访问

米散射理论基础

米散射理论基础_第1页
1/16
米散射理论基础_第2页
2/16
米散射理论基础_第3页
3/16
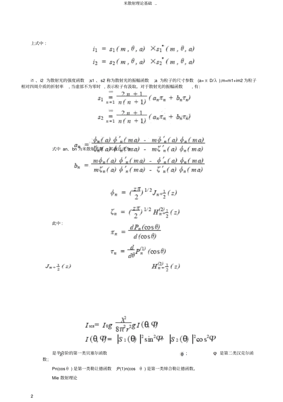
米散射理论基础 .. 1米散射( Miescattering); 又称“粗粒散射”。粒子尺度靠近或大于入射光波长的粒子散射现象。德国物理学家米 (GustavMie,1868 — 1957) 指出 , 其散射光强在各方向是不对称的, 顺入射方向上的前向散射最强。粒子愈大 , 前向散射愈强。米散射当球形粒子的尺度与波长可比较时,一定考虑散射粒子体内电荷的三维分布。此散射状况下,散射粒子应试虑为由很多齐集在一同的复杂分子构成,它们在入射电磁场的作用下, 形成振荡的多极子, 多极子辐射的电磁波相叠加,就构成散射波。又因为粒子尺度可与波长对比较,所以入射波的相位在粒子上是不均匀的,造成了各子波在空间和时间上的相位差。在子波组合产生散射波的地方,将出现相位差造成的干预。这些干预取决于入射光的波长、粒子的大小、折射率及散射角。当粒子增大时,造成散射强度变化的干预也增大。所以,散射光强与这些参数的关系 , 不象瑞利散射那样简单, 而用复杂的级数表达,该级数的收敛相当迟缓。这个关系第一由德国科学家G.米得出,故称这种散射为米散射。它拥有以下特色:①散射强度比瑞利散射大得多,散射强度随波长的变化不如瑞利散射那样激烈。跟着尺度参数增大,散射的总能量很快增添,并最后以振动的形式趋于必定值。②散射光强随角度变化出现很多极大值和极小值,当尺度参数增大时,极值的个数也增添。③当尺度参数增大时,前向散射与后向散射之比增大,使粒子前半球散射增大。当尺度参数很小时,米散射结果能够简化为瑞利散射;当尺度参数很大时,它的结果又与几何光学结果一致;而在尺度参数比较适中的范围内,只实用米散射才能获得独一正确的结果。所以米散射计算模式能宽泛地描绘任何尺度参数均匀球状粒子的散射特色。世纪末,英国科学家瑞利第一解说了天空的蓝色:在洁净大气中,起主要散射作用的是大气气体分子的密度涨落。分子散射的光强度和入射波长四次方成反比,所以在发生大气分子散射的日光中,紫、蓝和青色彩光比绿、黄、橙和红色彩光为强,最后综合成效使天穹体现蓝色。进而成立了瑞利散射理论。世纪初,德国科学家米从电磁理论出发,进一步解决了均匀球形粒子的散射问题,成立了米散射理论,又称粗粒散射理论。质点半径与波长靠近时的散射,特色:粗粒散射与波长没关,对各波长的散射能力相同,大气较浑浊时,大气中悬浮许多的的尘粒与水滴时,天空呈灰白色。米散射理论是由麦克斯韦方程组推导出来的均质球形粒子在电磁场中对平面...

1、当您付费下载文档后,您只拥有了使用权限,并不意味着购买了版权,文档只能用于自身使用,不得用于其他商业用途(如 [转卖]进行直接盈利或[编辑后售卖]进行间接盈利)。
2、本站所有内容均由合作方或网友上传,本站不对文档的完整性、权威性及其观点立场正确性做任何保证或承诺!文档内容仅供研究参考,付费前请自行鉴别。
3、如文档内容存在违规,或者侵犯商业秘密、侵犯著作权等,请点击“违规举报”。

碎片内容

米散射理论基础

您可能关注的文档

确认删除?
VIP
微信客服
  • 扫码咨询
会员Q群
  • 会员专属群点击这里加入QQ群
客服邮箱
回到顶部