电脑桌面
添加小米粒文库到电脑桌面
安装后可以在桌面快捷访问

数值分析选择题

数值分析选择题_第1页
1/11
数值分析选择题_第2页
2/11
数值分析选择题_第3页
3/11
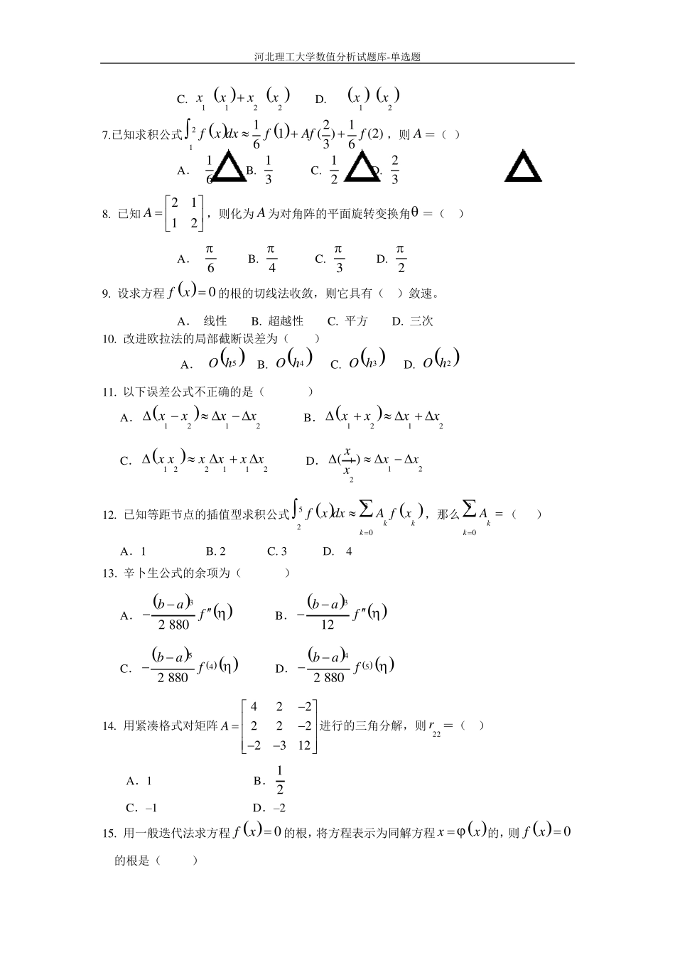
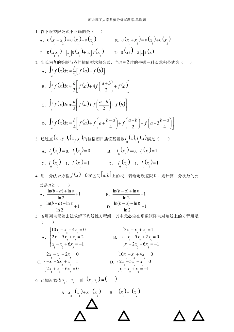
河北理工大学数值分析试题库-单选题 1. 以下误差限公式不正确的是( ) A.  1212xxxx B.   1212xxxx C.  122112x xxxxx D.   22xxx 2. 步长为h 的等距节点的插值型求积公式,当2n 时的牛顿-科茨求积公式为( ) A.   2bahf x dxf af b B.   432bahabf x dxf aff b C.   32bahabf x dxf aff b D.  34424bahbaabbaf x dxf afaffa 3. 通过点 0011,,,x yx y的拉格朗日插值基函数   01,lx lx 满足( ) A. 00lx=0, 110lx  B.  00lx=0, 111lx C. 00lx=1, 111lx D.  00lx=1, 111lx 4. 用二分法求方程 0f x 在区间,a b 上的根,若给定误差限 ,则计算二分次数的公式是n  ( ) A.ln ()ln1ln 2ba B. ln ()ln1ln 2ba C. ln ()ln1ln 2ba D. ln ()ln1ln 2ba 5. 若用列主元消去法求解下列线性方程组,其主元必定在系数矩阵主对角线上的方程组是( ) A.123123123104025261xxxxxxxxx  B. 12312312331520261xxxxxxxxx  C. 12312312322051260xxxxxxxxx D. 12312312310402501xxxxxxxxx  6. 已知近似值1x ,2x ,则 12,x x A.   2112xxxx B.   12xx 河北理工大学数值分析试题库-单选题 C.   1122xxxx D.    12xx 7.已知求积公式  211211( )(2)636f x dxfAff,则A =( ) A. 16 B. 13 C. 12 D. 23 8. 已知2112A ,则化为A 为对角阵的平面旋转变换角 =( ) A. 6 B. 4 C. 3 D. 2 9. 设求方程 0f x 的根的切线法收敛,则它具有( )敛速。 A. 线性 B. 超越性 C. 平方 D. 三次 10. 改进欧拉法的局部...

1、当您付费下载文档后,您只拥有了使用权限,并不意味着购买了版权,文档只能用于自身使用,不得用于其他商业用途(如 [转卖]进行直接盈利或[编辑后售卖]进行间接盈利)。
2、本站所有内容均由合作方或网友上传,本站不对文档的完整性、权威性及其观点立场正确性做任何保证或承诺!文档内容仅供研究参考,付费前请自行鉴别。
3、如文档内容存在违规,或者侵犯商业秘密、侵犯著作权等,请点击“违规举报”。

碎片内容

数值分析选择题

小辰8+ 关注
实名认证
内容提供者

出售各种资料和文档

确认删除?
VIP
微信客服
  • 扫码咨询
会员Q群
  • 会员专属群点击这里加入QQ群
客服邮箱
回到顶部